Организация технологического процесса

Под организацией технологической цепочки понимают комплекс мероприятий по согласованию и утверждению всех вопросов, связанных с функционированием этой ТЦ. Вопросы могут быть любые, позволяющие предотвратить как можно больше недоразумений в дальнейшем.

Процесс организации технологической цепочки составляет неотъемлемую часть цикла управления. Он заключается в следующем:

согласование организационной схемы;

согласование плана эффективности;

поиск инвестора (как правило, банк в структуре ФПГ);

подготовка и согласование нормативных документов;

определение форм оповещения, взаимодействия, воздействия;

утверждение даты начала функционирования технологической цепочки;

подписание договоров;

назначение управляющего по цепочке;

получение денежных средств и начало функционирования.

Одним из видов организационной схемы является горизонтальная корпорация.

Такая организация производственного процесса позволяет избежать таких негативных проявлений, как глубоко укоренившаяся бюрократия, которая тянула производство назад и до этого.

В поисках более высокой эффективности и производительности крупные корпорации начинают перерисовывать схему организационной иерархии, которая определяла бытие корпораций со времен Индустриальной Революции.

На протяжении нескольких последних лет предпринимались попытки подобных изменений: "управление всеобщим качеством", реинжениринг или редизайн бизнес-процессов. Независимо от того, как это назвать, тенденция состоит в стремлении показать рост преимуществ организаций со "сквозной" структурой управления перед структурой управления "вверх и вниз" в вертикально-ориентированной иерархии.

Концепция горизонтальной корпорации (схема на рис. 3.5) идет дальше, чем предшествующие усилия; она в значительной степени уничтожает как иерархию, так и границы между подразделениями и функциями. Как минимум, гордостью горизонтальной корпорации должно быть "ядро" менеджеров в таких традиционных ключевых областях, как финансы и людские ресурсы. Хотя на деле и все остальные в организации должны совместно участвовать в многопрофильных командах, работающих в таких ключевых процессах, как развитие продуктов или обеспечение продаж. В итоге: организация может иметь лишь три или четыре управленческих уровня между высшим руководителем и персоналом, задействованным в производственном процессе или технологической цепочке.

Согласно такой концепции, все без исключения аспекты корпоративного бытия основательно меняются. Корпорация организует разработку новых продуктов по принципу процесса вместо, например, принципа узкой задачи, такой, как прогнозирование доли рынка для конкретного нового продукта. Производственные цели вместо того, чтобы следовать задачам прибыльности и интересам акционеров, должны быть увязаны с удовлетворением клиентов.

Управляющая компания
Команда 1
Процесс 11
Команда 2
Процесс 21
Команда 3
Процесс 31
Команда 4
Процесс 41


Рис. 3.5. Схематическое представление финансово-промышленной группы

Такой подход — веление будущего. Сегодня невозможно полностью исключить людей. Нужно изменить процессы и управлять только необходимой работой, иначе завтра может наступить кризис. Такие радикальные изменения в организационной структуре финансово-промышленной группы позволяют ожидать колоссальных выигрышей в производительности. Когда финансово-промышленная группа идет к горизонтально организованной и сфокусированной на клиенте структуре, появляется реальная возможность достигнуть лучшей производительности в следующие несколько лет, причем быстрее чем ожидалось.

Как правило, традиционная корпорация тратит огромное количество энергии на свою внутреннюю деятельность, например, на управление взаимодействием между подразделениями или передачу информации вверх и вниз по иерархии.

Горизонтальная структура исключает большинство из этих действий, и все ресурсы компании фокусирует на клиентах.

Внедрение способов управления по принципу горизонтальной корпорации затруднено тем, что исключение аккуратно расположенных прямоугольников из организационной схемы ради горизонтальной структуры — часто очень комплексное и мучительное испытание. Действительно, простое определение процессов в данной финансово-промышленной группе может оказаться сложным с точки зрения сознания и длительным по времени упражнением. Ситуация в технологической цепочке немного проще, поскольку сама цепочка представляет собой законченный процесс, управлять которым по принципу горизонтальной корпорации гораздо проще.

Но существует опасность, что реорганизация корпорации может превратиться в самоцель. Не существует единого решения для всех проблем организации. В действительности современные вертикальные организации могут подходить к специфике некоторых индустрий массового производства в большей степени, чем горизонтальные.

Перед тем, как перекраивать организационную схему, финансово-промышленная группа должна понять, какие рынки и какие клиенты ее интересуют и провести анализ: что надо предпринять для удовлетворения их требований. И только после этого ФПГ должна начать идентифицировать ключевые процессы для достижения таких целей, как снижение затрат или разработка нового продукта вдвое быстрее, чем раньше.

В те времена, когда бизнес был более предсказуемый и стабильный, компании создавали вертикальную структуру. Преимущества очевидны: у каждого есть место и все понимают, какую задачу на этом месте следует выполнять. Наиболее важные решения принимались наверху. Но пока преобладала ясность и стабильность, такие организации затруднили понимание общей задачи компании и того, как связана работа конкретного человека с этой задачей. В результате сотрудничество между подразделениями часто одерживало триумф над формальной организационной схемой.

Чтобы разрешить эту проблему, в 1960-1970 годах некоторые компании переходили к структуре, называемой матричной. Эта модель основывалась на определенных проектах, "пересекающих" отдельные подразделения. Но такая модель не затронула иерархию и в основном оставила на верху ответственность и право принимать решения.

Усилившаяся с тех пор мировая конкуренция и ускорившееся технологическое развитие изменили правила игры и заставили специалистов по корпоративному планированию искать новые пути.

Многие западные корпорации приняли новую форму корпоративной организации после того, как потерпели неудачу при попытке достичь нового уровня производительности путем простого совершенствования и объединения.

Цель горизонтальной корпорации всегда состоит в изменении узкого мышления армий специалистов, которые делали свою карьеру, взбираясь в вертикальной иерархии к верхней части функции. Однако сегодняшняя ситуация диктует новые условия. Теперь каждый сотрудник огромной корпорации должен быть нацелен на бизнес как систему, в которой все функции неразрывны. Руководство корпорации должно пытаться исключить то, что в менеджменте называется "разобщенность" и "разрывы при передаче из рук в руки". Это является общей чертой как для функций, так и для подразделений. Каждый раз, когда появляются организационные барьеры, возникает возможность разобщенности. Чем крупнее организация, тем массивнее функции и тем больше возникает разобщенности.

Фактически всегда для достижения цели процесса работает многопрофильная команда.

Основная лидирующая группа — лучше, чтобы это были менеджеры с широкой компетенцией, а не узкие специалисты — существует для поиска ресурсов и координации процессов и программ. Они удаляются от повседневной деятельности, которая реализуется самоуправляемыми командами.

Изменения в организации производственного процесса неизбежно приводят к реформированию систем обучения, аттестации и вознаграждения. У сотрудников формируется приверженность процессу а не боссу, для этого внутри корпорации применяется "процедура оплаты труда на 360 градусов". При этом производительность каждого сотрудника в рамках процесса оценивается со всех сторон: его коллегами, начальством, предыдущим и последующим в процессе элементами.

Изменения, сделанные в организационной структуре, позволяют ускорить процесс от разработки до выхода конкретного продукта на рынок в среднем в три раза быстрее, чем раньше. Процесс перехода от одной организационной схемы к другой не должен проводиться радикально. В случае, если корпорация имела структуру управления, организованную по функциям, необходимо включать сотрудников в команды, объединяющие отдельные подразделения и функции. Даже если в корпорации в течение нескольких лет все еще будет в той или иной мере формальная функциональная структура, но люди, вероятно, будут достаточно свободны, чтобы большую часть времени работать вне своих функций.

Изменения условий работы ведут к кардинальной перестройке отношений собственности, карьерного пути, а также к трансформации индивидуальных целей сотрудников. Во всем этом главное — взаимное сотрудничество. Задача состоит в том, чтобы люди из службы маркетинга и финансовой службы стали разговаривать, а не кидаться друг в друга камнями раз в несколько дней.

Горизонтальная корпорация является идеей, приносящей деньги и все больше требующей от людей более широкого мышления. Люди в новой модели стремятся менять ситуацию таким образом, чтобы управлять процессом, а не другими людьми.

В крупных российских компаниях, как правило, модернизация управления должна начинаться с подбора новой команды управляющих. Главная цель: "каждой задаче — имя, отчество и фамилию". Людей в команду подбирают с таким расчетом, чтобы не надо было объяснять, что конкретно делать, а можно было ставить задачи по-крупному. Опыт российских компаний, проведших или проводящих реорганизацию управления, показывает, что не нужно бояться менять людей до тех пор, пока не будет найден подходящий для этой работы. При этом, однако, наиболее перспективным из числа непрошедших, нужно дать возможность обучаться для дальнейшего привлечения их к работе в новых условиях.

Своих ближайших помощников не контролируют по мелочам. Рабочий принцип для менеджеров таков: "каждый на своем участке должен разбираться лучше, чем руководитель, иначе, зачем он нужен". Руководитель, благодаря такому подходу, может сосредотачиваться на самых важных стратегических вопросах.

Корпорация, оптимизируя круг руководителей, участвующих в выработке стратегических решений, выделяет то, что принято называть правлением. Правление состоит из нескольких директоров по направлениям плюс генеральный директор. В таком составе правление собирается, например, раз в неделю, а дальше каждый организует свою работу так, как считает нужным. Это, собственно говоря, и есть команда, с которой решаются основные вопросы.

В управлении, особенно в российских условиях, должно активно использоваться финансовое планирование. Для эффективного функционирования, для оценки возможностей и фиксации плановых результатов необходимо составлять и контролировать бюджеты. Причем роль бюджетного планирования постоянно возрастает: если сначала финансовый план использовали для того, чтобы "оцифрить" будущее, то в дальнейшем корпорация может превратить бюджеты в основной инструмент согласования интересов различных служб. Способ — многократное уточнение бюджета с тем, чтобы увязать с предполагаемыми поступлениями денег запросы различных служб. После этого можно использовать финансовый план для делегирования полномочий и распределения ответственностей.

Полномочия по работе в рамках процесса делегируются на низшие уровни управления. Однако ошибкой было бы идти по пути "холдингизации". Центробежные тенденции в холдинге обязательно появятся, и надо будет тратить силы на то, чтобы их преодолевать. Понять, эффективно или нет то или иное подразделение, можно и не давая ему самостоятельность, лишь наладив нормальный учет. Руководители подразделений должны заботиться о том, что им поручено, например, повышать качество продукции, заниматься технологиями и оборудованием. Если их пустить в абсолютно свободное плавание, добиться этого будет очень трудно.

Поэтому политика со стороны правления в отношении подразделений — максимум самостоятельности при жестком контроле. В каком-то смысле на российских предприятиях занимаются имитацией предпринимательства, напрямую не занимаясь управлением подразделениями без крайней необходимости и всячески подчеркивая их самостоятельность.

Финансово-промышленная группа может быть разделена на комплексы, в каждом из которых есть собственный маркетинг, производство, снабжение. Из всех крупных отделов выделяются специалисты в определенной области: разработчики конечных продуктов, маркетологи, производственники, технологи. В каждом из комплексов создаются собственные финансово-экономические службы.

Внутри финансово-промышленной группы для того чтобы жестко контролировать деятельность подразделений, одновременно культивируя самостоятельность, может быть введена система командных бюджетов. При этом каждая команда должна ежемесячно защищать свой бюджет на правлении. Тех, кто с такими обязательствами не справляется, можно "санировать", а неэффективные или бесперспективные направления должны быть безжалостно закрыты.

Помимо чисто финансовых рычагов контроля за подразделениями можно использовать и другие. Например, стратегический маркетинг, который оставлен на высшем уровне управления. В ФПГ основные стратегические решения по привлечению или исключению предприятий из состава группы принимаются дирекцией в интересах производства и продвижения на рынок того или иного конкретного продукта. Руководство может контролировать все экспортные заказы, в частности поставку оборудования через государственные организации. Может и должна быть централизована служба качества — в комплексы ее не отдали.

Таким образом, организация работы финансово-промышленной группы по принципу горизонтальной корпорации имеет некоторые преимущества в условиях переходной экономики.

Корпоративная эффективность работы каждой команды вычисляется по следующему алгоритму:

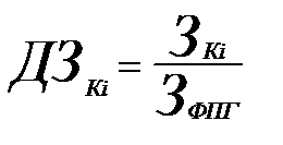
1. Вычисляется доля затрат каждой команды (ДЗКi) в затратах финансово-промышленной группы. Как отмечалось выше, в качестве денежного выражения суммы затрат при проведении расчетов используется стоимость совокупных активов. Следовательно, сумма затрат каждой команды – это балансовая стоимость активов, находящихся в управлении этой команды. Сумма затрат ФПГ – это стоимость совокупных активов финансово-промышленной группы.

, (3.1)

где

ЗКi – затраты i-той команды;

ЗФПГ – затраты финансово-промышленной группы.

2. Вычисляется доля каждой команды (ДПКi) в совокупной чистой прибыли финансово-промышленной группы:

, (3.2)

где

ПКi – чистая прибыль i-той команды;

ПФПГ – чистая прибыль финансово-промышленной группы.

3. Вычисляется коэффициент корпоративной эффективности (ККi) для каждой команды:

. (3.3)

4. Команды сортируются по значению коэффициента корпоративной эффективности.

Пример 3.1. Процесс функционирования финансово-промышленной группы состоит в реализации пяти процессов, каждым из которых руководит отдельная команда. Соответствующие данные представлены в таблице 3.1.

Таблица 3.1

Номер команды          
Затраты команды          
Чистая прибыль команды          

По данным таблицы 3.1 можно рассчитать искомые показатели и выяснить, какая команда вносит наибольший вклад в успех финансово-промышленной группы. Результаты расчетов представлены в таблице 3.2.

Таблица 3.2

Номер команды          
Доля команды в затратах 0,1496 0,2609 0,1660 0,2234 0,2001
Доля команды в прибыли 0,2018 0,1491 0,2719 0,2456 0,1316
Коэффициент корпоративной эффективности команды 1,3487 0,5715 1,6383 1,0996 0,6574

По данным таблицы 3.2 произведем сортировку команд по значению коэффициента корпоративной эффективности. Команда с большим значением коэффициента вносит больший вклад, а команда с меньшим значением коэффициента – меньший (таблица 3.3).

Таблица 3.3

Порядковый номер          
Номер команды          

Вывод. Команда, управляющая третьим процессом, работает с наибольшей среди всех команд эффективностью.

Изучение динамики корпоративной эффективности можно проводить, используя мультипликативную модель, которую можно получить, подставив в (3.3) выражения из (3.1) и (3.2). Тогда

.

Таким образом, изменение ККi зависит от изменения любого из двух множителей.





Подборка статей по вашей теме: