В результате приведения сил и масс реальную схему механизма заменяют упрощенной динамической моделью с вращающимся или поступательным звеном приведения
Уравнение движения показывает зависимость силовых параметров Mn (или Fn) от инерционных In (mn) или кинематических q, V или w, a или
. Уравнение движения может записываться в дифференциальной или интегральной формах.
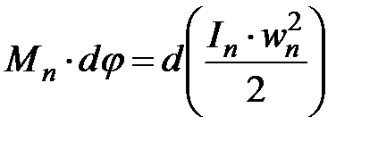
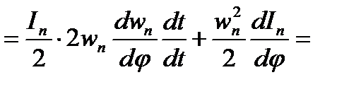
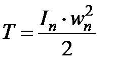
Уравнение в дифференциальной форме основано на равенстве дифференциалов элементарных работ dA и дифференциалов кинетической энергии dT в любой момент времени: dA=dT.
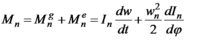
Покажем для вращающегося звена приведения:
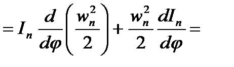
;
;
; 

;
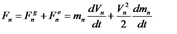
Аналогично можно получить для поступательного звена приведения







