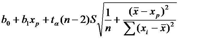
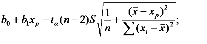
Доверительный интервал для М(Y/X=xр) имеет вид:

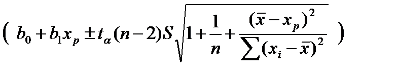
Интервальный прогноз индивидуальных значений зависимой переменной. Интервал
определяет границы, за пределами которых могут оказаться не более 100α% точек наблюдений при Х=хр. Данный доверительный интервал шире доверительного интервала для условного математического ожидания. )
60. Разложение временных рядов на компоненты
Суть метода заключается в следующем: одномерный ряд преобразуется в матрицу развертки с помощью однопараметрической сдвиговой процедуры гусеница, затем осуществляется сингулярное разложение этой матрицы. После этого из полученного набора главных компонент выбираются те компоненты, по которым нужно восстановить ряд. Таким образом, результатом применения метода является разложение временного ряда на компоненты, которые могут быть интерпретированы как медленные тренды, циклические составляющие и шум.
Для того чтобы согласованно разложить ряд на тренд, циклическую компоненту и шум, нужно сгруппировать собственные тройки согласно их порядковым номерам на 3 группы.
61. Расчет опорного (базисного) плана транспортной задачи методом «северо-западного угла». Формулы расчета потенциалов занятых клеток и расчета оценок свободных клеток матрицы транспортной задачи.
Метод северо-западного угла:
В данном методе запасы очередного по номеру поставщика используются для обеспечения запросов очередных по номеру потребителей до тех пор, пока не будут исчерпаны полностью, после чего используются запасы следующего по номеру поставщика.
На каждом шаге метода с еверо-западного угла из всех не вычеркнутых клеток выбирается самая левая и верхняя (северо-западная) клетка. Другими словами, на каждом шаге выбирается первая из оставшихся не вычеркнутых строк и первый из оставшихся не вычеркнутых столбцов.
Для того, чтобы заполнить клетку (i,j), необходимо сравнить текущий запас товара в рассматриваемой i-й строке
с текущей потребностью в рассматриваемом j-м столбце
.
Если существующий запас позволяет перевезти всю потребность, то
· в клетку (i,j) в качестве перевозки вписывается значение потребности
· j-й столбец вычеркивается, поскольку его потребность уже исчерпана;
· от существующего запаса в i-й строке отнимается величина сделанной перевозки, прежний запас зачеркивается, а вместо него записывается остаток, т.е.
.
Если существующий запас не позволяет перевезти всю потребность, то
· в клетку (i,j) в качестве перевозки вписывается значение запаса
;
· i-я строка вычеркивается, поскольку ее запас уже исчерпан;
· от существующей потребности в j-й строке отнимается величина сделанной перевозки, прежняя потребность зачеркивается, а вместо нее записывается остаток, т.е.
.
Нахождение опорного плана продолжается до тех пор, пока не будут вычеркнуты все строки и столбцы.
Потенциалы занятых клеток рассчитываются по формуле Cij=Vj+Ui. Cij - оценка занятой клетки, Vj - потенциал занятой клетки по j-му столбцу, Ui - потенциал занятой клетки по i-ой строке.
Вычислить оценки Sij для всех свободных клеток можно по формуле Sij= Cij-(Ui+Vj).
62. Расчет опорного (базисного) плана транспортной задачи методом минимальных тарифов(минимального элемента). Правила построения цепочек перемещения при решении транспортной задачи методом потенциалов. Экономическое содержание перемещений.






