Основная задача корреляционногоанализа заключается в выявлении взаимосвязи между случайными переменными путем:
• точечной и интервальной оценки парных (частных) коэффициентов
корреляции;
• вычисления и проверки значимости множественных коэффициентов
Корреляции и детерминации.
С помощью корреляционного анализа решаются следующие задачи:
• отбор факторов, оказывающих наиболее существенное влияние на
результативный признак;
• обнаружение ранее неизвестных причинных связей.
45. Понятие «модель временного ряда». Модели временных рядов
Модели временных рядов представляют собой модели зависимости результативного признака от времени. К ним относятся адаптивные модели, модели кривых роста (трендовые) и модели авторегрессии и скользящего среднего.
К моделям временных рядов, в которых результативный признак зависит от времени, относятся:
· Модель тренда (модель зависимости результативного признака от трендовой компоненты);
· Модель сезонности (модель зависимости результативного признака от сезонной компоненты);
· Модель тренда и сезонности.
· К моделям временных рядов, в которых результативный признак зависит от переменных, датированных другими моментами времени, относятся:
· Модели с распределенным лагом, которые объясняют вариацию результативного признака в зависимости от предыдущих значений факторных переменных;
· Модели авторегрессии, которые объясняют вариацию результативного признака в зависимости от предыдущих значений результативных переменных;
· Модели ожидания, объясняющие вариацию результативного признака в зависимости от будущих значений факторных и результативных переменных.
46. Понятие «регрессия» и «регрессионный анализ».
Регрессия - это зависимость между определёнными переменными, с помощью которой можно спрогнозировать будущее поведение данных переменных.
Регрессионный анализ — это количественный метод определения вида математической функции в причинно-следственной зависимости между переменными величинами.
47. Понятие «эконометрическая модель». Предмет, цели и задачи эконометрики.
Эконометрическая модель - это статистическая модель, которая является средством прогнозирования значений определенных переменных, называемых эндогенными переменными.
Предмет исследования эконометрики как науки – экономические явления. Но в отличие от экономической теории эконометрика делает упор на количественные, а не на качественные аспекты этих явлений.
Цель эконометрики – эмпирический (практический) вывод экономических законов.
Основные задачи эконометрики:
1. Построение эконометрических моделей, т.е. представление экономических моделей в математической форме, удобной для проведения эмпирического анализа.
2. Оценка параметров построенной модели, делающих выбранную модель наиболее адекватной реальным данным.
3. Проверка качества найденных параметров модели и самой модели в целом.
48. Понятие двойственности в задаче линейного программирования.
Под двойственной задачей понимается вспомогательная задача линейного программирования, формулируемая с помощью определённых правил непосредственно из условий прямой задачи. Связь исходной и двойственной задач заключается, в частности, в том, что решение одной из них может быть получено непосредственно из решения другой. Каждая из задач двойственной пары фактически является самостоятельной задачей линейного программирования и может быть решена независимо от другой. Однако при определении симплекс–методом оптимального плана одной из задач автоматически находится решение и другой задачи.
49. Понятие двойственности в задаче линейного программирования. Основные теоремы двойственности.
Под двойственной задачей понимается вспомогательная задача линейного программирования, формулируемая с помощью определённых правил непосредственно из условий прямой задачи.
ТЕОРЕМА 1. Если одна из двойственных задач имеет оптимальное решение, то другая также имеет оптимальное решение, причём для любых оптимальных решений
и
выполняется равенство
.
Если одна из двойственных задач неразрешима ввиду того, что L(
) Max →
(или S(
)Min → -
), то другая задача не имеет допустимых решений.
ТЕОРЕМА 2. Для оптимальности допустимых решений
и
пары двойственных задач необходимо и достаточно, чтобы они удовлетворяли системе уравнений

Теоремы позволяют определить оптимальное решение одной из пары задач по решению другой.
50. Понятие критического пути в сетевой модели. Построение линейной диаграммы проекта.
Критический путь – наиболее продолжительный полный путь в сетевом графике. Критическими называются также работы и события, расположенные на этом пути.
При построении линейной диаграммы:
• Каждая работа изображается параллельным оси времени отрезком, длина которого равна продолжительности этой работы.
• При наличии фиктивной работы нулевой продолжительности (в рассматриваемой сети ее нет) она изображается точкой.
• События i и j, начало и конец работы (i, j) помешают соответственно в начале и
конце отрезка.
• Отрезки располагают один над другим, снизу вверх в порядке возрастания индекса i, а при одном и том же i – в порядке возрастания индекса j.\
51. Понятие социально-экономического процесса. Общие закономерности социально-экономического развития (цикл «инновации-инвестиции»)
Социально-экономические процессы — это изменения в обществе, отображающиеся на его благосостоянии, политической и экономической стабильности, условиях безопасности и пр.
В основе социально-экономических процессов лежит цикл «инновации-инвестиции», предопределяющий логику развертывания волн экономической конъюнктуры на каждом из рассматриваемых уровней. Лежащая в основе этого цикла модель Н. Кондратьева предусматривает координацию двух глобальных экономических процессов — роста и упадка. Достигая максимума, тенденция роста производства сменяется его снижением. Вместе с тем снижается объем инвестиций, что, в конечном счете, неизбежно приводит к сдерживанию инновационных процессов. Снижение инновационной активности, вызывая сокращение эффективности производства, способствует возникновению масштабных войн за передел ресурсов. Войны приводят к резкому повышению цен на продукцию и падению стоимости рабочей силы, что вызывает стагнацию и создает благоприятные условия для инновационного прорыва.
52. Правила нахождения коэффициентов новой симплексной таблицы. Оценка оптимальности плана при решении задач на максимум и минимум целевой функции.
При составлении новой симплекс-таблицы в ней происходят следующие изменения:
· Вместо базисной переменной xk записываем xl; вместо небазисной переменной xl записываем xk.
· ведущий элемент заменяется на обратную величину ak,l'= 1/ak,l
· все элементы ведущего столбца (кроме ak,l) умножаются на -1/ak,l
· все элементы ведущей строки (кроме ak,l) умножаются на 1/ak,l
· оставшиеся элементы симплекс-таблицы преобразуются по формуле ai,j'= ai,j- ai,lx ak,j/ ak,l
Правило оценки плана на оптимальность
В оптимальном плане при решении задачи на максимум все оценки в строке zj-cj должны быть положительными. При решении на минимум – отрицательными.
53. Правила составления исходной матрицы и первого (опорного, базисного) плана симплексного М-метода линейного программирования.

Если задача линейного программирования задана в каноническом виде. Составим расширенную матрицу и выделим с помощью метода Жордана-Гаусса базисные переменные. Примем в качестве базисных – переменные х1 и х2.

· Заполняем шапку таблицы: в шапке первых трёх столбцов пишем соответственно СБ, БП и ХБ; в нижних половинах строки, разделённой пополам, запишем все имеющиеся в последней записанной ЗЛП переменные (включая дополнительные и искусственные); в шапке последнего столбца запишем Q.
· Заполняем строку над переменными в каждую верхнюю ячейку строки, разделённой пополам, запишем коэффициент целевой функции 𝑧 при переменной, стоящей в соответствующей нижней (зелёной) ячейке (при этом считаем, что если какая- то переменная отсутствует в целевой функции 𝑧, то соответствующий этой переменной коэффициент равен нулю).
· Заполняем столбец БП («базисные переменные») для заполнения первой ячейки столбца БП внимательно рассмотрим левую часть первого уравнения; если в ней присутствует искусственная переменная 𝑤𝑖, то эту переменную 𝑤𝑖 запишем в первую ячейку столбца БП, а если в левой части первого уравнения искусственная переменная 𝑤𝑖 отсутствует, то в первую ячейку столбца БП запишем дополнительную переменную 𝑢1. Аналогично заполняются все остальные ячейки столбца БП.
· Заполняем столбец СБ справа от 𝑤𝑖 (см. столбец БП) запишем −𝑀, а справа от 𝑢𝑖 запишем 0.
· Заполняем столбец ХБ: в него запишем правые части уравнений.
· Заполняем столбцы, соответствующие всем имеющимся переменным: в столбец, соответствующий первой переменной 𝑥1, запишем коэффициенты при этой переменной 𝑥1 в левых частях уравнений, в столбец, соответствующий следующей переменной 𝑥2′ запишем коэффициенты при этой переменной 𝑥2′ в левых частях уравнений, и т.д. до тех пор, пока не заполним столбец, соответствующий последней переменной, записанной в шапке таблицы. При этом учтём, что если данная переменная в некотором уравнении отсутствует, то соответствующий коэффициент равен нулю.
· Заполним последнюю строку столбца ХБ: туда запишем сумму произведений соответствующих элементов столбцов СБ и ХБ;
· Заполним все остальные ячейки последней строки от суммы произведений соответствующих элементов столбца СБ и рассматриваемого столбца - отнимем число, стоящее в рассматриваемом столбце над переменной.
· Q – заполняется после оценки симплекс таблицы на оптимальность.
54. Предмет, цели и задачи эконометрики. Связь эконометрики с другими областями знаний. Типы выборочных данных в эконометрике.
Предмет исследования эконометрики как науки – экономические явления. Но в отличие от экономической теории эконометрика делает упор на количественные, а не на качественные аспекты этих явлений.
Цель эконометрики – эмпирический (практический) вывод экономических законов.
Задачи, решаемые эконометрикой
• описания данных;
• проверки гипотез;
• восстановления зависимостей;
• классификации объектов и признаков;
• прогнозирования;
• принятия статистических решений и др.
Эконометрика как наука является следствием междисциплинарного подхода к изучению экономики. На современном этапе своего развития эконометрика представляет собой сочетание трех наук:
2) математики;
3) математической и экономической статистики.
Помимо вышеназванных дисциплин, одним из основных факторов развития эконометрики является развитие компьютерных технологий и специализированных пакетов прикладных программ. Следовательно, эконометрика с помощью статистических и математических методов анализирует экономические закономерности, доказанные экономической теорией.
Пространственные (cross-sectional data) — характеризуют ситуацию по конкретной переменной (или набору переменных), относящейся к пространственно- разделенным сходным объектам в один и тот же момент времени.
Временные (динамические) ряды (time-series data) — отражают изменения (динамику) какой-либо переменной на промежутке времени.
Панельные данные— разновидность пространственно-временных данных (насчитывают три измерения: признаки – объекты – время).
Состоят из наблюдений одних и тех же экономических единиц или объектов на протяжении нескольких периодов времени. Позволяют проводить анализ как временных рядов, так и пространственных выборок.
55. Преимущества и недостатки моделей, использующих коэффициенты прямых затрат, в сравнении с моделями, использующими коэффициенты полных затрат.
Коэффициенты прямых затрат по определению являются неотрицательными, следовательно, матрица А в целом может быть названа неотрицательной: А > 0. Так как процесс воспроизводства нельзя было бы осуществлять, если бы для собственного воспроизводства в отрасли затрачивалось большее количество продукта, чем создавалось, то очевидно, что диагональные элементы матрицы А меньше единицы: ац < 1.
Коэффициенты прямых материальных затрат являются основными параметрами статической межотраслевой модели. Их значения могут быть получены двумя путями:
1) статистически. Коэффициенты определяются на основе анализа отчётных балансов за прошлые годы. Их неизменность во времени определяется подходящим выбором отраслей;
2) нормативно. Предполагается, что отрасль состоит из отдельных производств, для которых уже разработаны нормативы затрат; на их основе рассчитываются среднеотраслевые коэффициенты.
Коэф-ты прямых затрат показывают сколько единиц продукции I-той отрасли непосредственно расходуются на выпуск единицы продукции j-той отрасли.
Коэф-т полных мат. затрат включает в себя как прямые так и косвенные затраты всех порядков. Косв. затраты относ. к предшествующим стадиям пр-ва и входят в продукт не прямо, а через другие средства производства. По данным баланса можно рассчитать коэф-ты прямых мат. затрат: aij=xij/Xj, где xij-мат.поток, Xj-валовая прод. в j отрасли.
Из баланса следует, что Xi=Sxij+yi, тогда Xi=Saij* Xj+yi. (1)
Эта формула записывается для каждой отрасли отдельно (всего отраслей n), поэтому это ур-е охватывает с-му из n-ур-йи служит основным математич. соотношением при разработке баланса на плановый период.
Если известны коэф-ты полных затрат, то расчет баланса производят по ф-ле Xi=SAij* yi. Валовая продукция Xi выступает в этой ф-ле как сумма взвешенных конечных продуктов, причем весовыми коэф-тами явл. коэф-ты полных затрат. Они показывают насколько всего нужно произвести продукции в i-той отрасли для выпуска в сферу конечного использования ед-цы продукции j-той отрасли.
56. Применение метода наименьших квадратов для регрессионного анализа.
Метод наименьших квадратов - математический метод, применяемый для решения различных задач, основанный на минимизации суммы квадратов отклонений некоторых функций от искомых переменных.
Пусть
— набор
неизвестных переменных (параметров),
,
,
— совокупность функций от этого набора переменных. Задача заключается в подборе таких значений x, чтобы значения этих функций были максимально близки к некоторым значениям
. По существу речь идет о «решении» переопределенной системы уравнений
,
в указанном смысле максимальной близости левой и правой частей системы. Сущность МНК заключается в выборе в качестве «меры близости» суммы квадратов отклонений левых и правых частей
. Таким образом, сущность МНК может быть выражена следующим образом:
.
В случае, если система уравнений имеет решение, то минимум суммы квадратов будет равен нулю и могут быть найдены точные решения системы уравнений аналитически или, например, различными численными методами оптимизации. Если система переопределена, то есть, говоря нестрого, количество независимых уравнений больше количества искомых переменных, то система не имеет точного решения и метод наименьших квадратов позволяет найти некоторый «оптимальный» вектор
в смысле максимальной близости векторов
и
или максимальной близости вектора отклонений
к нулю (близость понимается в смысле евклидова расстояния).
57. Принципы построения эконометрических моделей. Виды переменных эконометрических моделей.
Принципы построения эконометрических моделей:
· Выбор результативных признаков, представляющих для исследователя основную цель и суть решаемой задачи.
· Построение уравнения, в котором изменение результативного признака объясняется при помощи других переменных.
· Построение уравнений для объясняющих переменных до тех пор, пока необъясненными останутся только те переменные, которые невозможно выразить в рамках данной модели.
· Все параметры полученных уравнений должны быть оценены статистическими методами на основе данных в форме временных рядов.
Переменные, участвующие в эконометрической модели, разделяются на следующие виды:
1) текущие экзогенные или независимые переменные (xt), значения которых задаются извне модели на данный момент времени t;
2) текущие эндогенные или зависимые переменные (yt), значения которых определяются внутри модели на данный момент времени t;
3) лаговые (экзогенные (xt-1, xt-2 и т.д.) или эндогенные переменные(yt-1, yt-2 и т.д.)), датированные предыдущими моментами времени и находящиеся в уравнении с текущими переменными;
4) предопределенные (объясняющие) переменные, к которым относятся текущие экзогенные переменные (xt), лаговые экзогенные переменные (xt-1, xt-2 и т.д.), а также лаговые эндогенные переменные (yt-1, yt-2 и т.д.)
58. Прогнозирование по уравнению парной линейной регрессии. Точечный и интервальный прогнозы значений результативного признака.
Уравнение линейной регрессии применимо и для прогнозирования возможных ожидаемых значений результативного признака. При этом следует учесть, что перенос (экстраполяция) закономерности связи, измеренной в варьирующей совокупности, в статике на динамику не является, строго говоря, корректным и требует проверки условий допустимости такого решения, которое выходит за рамки статистики и может быть сделано только специалистом, хорошо знающим объект (систему) и возможности его развития.
Ограничением прогнозирования на основе уравнения линейной регрессии, тем более парного, служит условие стабильности или, по крайней мере, малой изменчивости других факторов и условий изучаемого процесса, не связанных с ними. Если резко изменится внешняя среда протекающего процесса, прежнее уравнение линейной регрессии результативного признака потеряет свое значение. Прогноз, полученный подстановкой в уравнение линейной регрессии ожидаемого значения фактора, называют точечным прогнозом.
Точечный прогноз результативной переменной у на базе линейной модели парной регрессии при заданном значении факторной переменной хm будет осуществляться по формуле:
ym=β0+β1xm+εm.
Точечный прогноз результативной переменной ym с доверительной вероятностью γ или (1–а) попадает в интервал прогноза, определяемый как:
ym–t*ω(m)≤ ym≤ ym+t*ω(m),
Интервальные прогнозы строятся на основе точечных прогнозов. Доверительным интервалом называется такой интервал, относительно которого можно с заранее выбранной вероятностью утверждать, что он содержит значение прогнозируемого показателя. Ширина интервала зависит от качества модели, т.е. степени ее близости к фактическим данным, числа наблюдений, горизонта прогнозирования и выбранного пользователем уровня вероятности.
При построении доверительного интервала прогноза рассчитывается величина U(k), которая для линейной модели имеет вид:

59. Прогнозирование по уравнению парной линейной регрессии. Точечный прогноз. Интервальные прогнозы для средних и индивидуальных значений результативного признака.
Важно заметить, что одна из задач эконометрического моделирования заключается в прогнозировании поведения исследуемого явления или процесса в будущем. В большинстве случаев данная задача решается на основе регрессионных моделей, с помощью кᴏᴛᴏᴩых можно спрогнозировать поведение результативной переменной в зависимости от поведения факторных переменных.
Точечный прогноз результативной переменной у на базе линейной модели парной регрессии при заданном значении факторной переменной хm будет осуществляться по формуле: ym=β0+β1xm+εm.
Точечный прогноз результативной переменной ym с доверительной вероятностью γ или (1–а) попадает в интервал прогноза, определяемый как: ym–t*ω(m)≤ ym≤ ym+t*ω(m),
Интервальные прогнозы строятся на основе точечных прогнозов. Доверительным интервалом называется такой интервал, относительно которого можно с заранее выбранной вероятностью утверждать, что он содержит значение прогнозируемого показателя. Ширина интервала зависит от качества модели, т.е. степени ее близости к фактическим данным, числа наблюдений, горизонта прогнозирования и выбранного пользователем уровня вероятности.
При построении доверительного интервала прогноза рассчитывается величина U(k), которая для линейной модели имеет вид:

(чужие ответы: Регрессионные модели могут быть использованы для прогнозирования возможных ожидаемых значений зависимой переменной. Прогнозируемое значение переменной Yполучается при подстановке в уравнение регрессии ожидаемой величины фактора Х 
Данный прогноз называется точечным. Значение независимой переменной х(прогн)не должно значительно отличаться от значений входящих в выборку, по которой вычеслено уравнение регрессии.
Вероятность реализации точечного прогноза теоретически равна нулю. Поэтому рассчитывается средняя ошибка, или доверительный интервал, прогноза с достаточно большой надежностью.
Доверительные интервалы зависят от:
· стандартной ошибки
· удаление х(прогн) от своего среднего значения х
· кол-во наблюдений n
· уровень значимости прогноза а
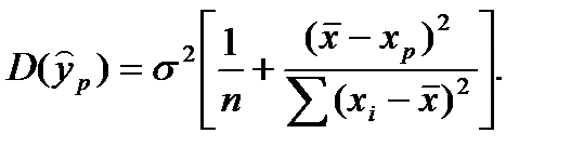
Точечный прогноз по уравнению регрессии.
Если известно значение независимой переменной хр, то прогноз зависимой переменной осуществляется подстановкой этого значения в полученное эмпирическое уравнение регрессии
.
Показателем точности прогноза служит его дисперсия (чем она меньше, тем точнее прогноз):

Подставив вместо
её несмещённую оценку
, получим выборочную исправленную дисперсию рассматриваемой случайной величины.
Очевидно, что чем больше объем выборки, тем точнее прогноз. При фиксированном объёме выборки прогноз тем точнее, чем больше вариация выборочных данных и чем ближе значение независимой переменной хр к среднему выборочному значению.