(сферическое движение)






Подставим (1) и (2) в (3):

Частный случай.
Пусть оси Ox, Oy, Oz – главные оси.


Подставим (4) в (5):

Уравнение (6) – динамическое уравнение Эйлера.

(7) – кинематические уравнения Эйлера.
(6) и (7) – полные уравнения Эйлера
(сферическое движение)






Подставим (1) и (2) в (3):

Частный случай.
Пусть оси Ox, Oy, Oz – главные оси.


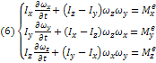
Подставим (4) в (5):

Уравнение (6) – динамическое уравнение Эйлера.

(7) – кинематические уравнения Эйлера.
(6) и (7) – полные уравнения Эйлера
|
|