При 



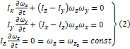
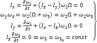
Подставим (1) в (2).




«+»
и
ограничены по амплитуде.
«-»
и
не ограничены по амплитуде.

а) 
б) 
Чтобы вращение было устойчиво необходимо, чтобы момент инерции вращения тела относительно z был наибольшим и наименьшим среди трех главных моментов инерции.






