Твердое тело, движущееся в пространстве, как известно, обладает шестью степенями свободы – тремя поступательными и тремя вращательными. Для описания движения твердого тела выберем инерциальную систему отсчета
(с осями
,
,
), которую будем считать неподвижной. Эта система еще называется земной, поскольку может быть жестко связана с некоторым местом на поверхности земли. С телом свяжем жестко другую систему
(с осями
,
,
), поместив ее начало в некоторую точку внутри тела, например, в геометрический центр
(рис.2.1).
Рис.2.1 – Рассматриваемые системы координат
В качестве обобщенных координат, определяющих положение тела, удобно взять три координаты начала системы
-
и три угла, характеризующих ориентацию осей
,
и
по отношению к осям
,
,
. Названные оси образуют друг с другом девять углов, однако независимыми оказываются только три из них. Обычно в качестве трех углов, определяющих взаимную ориентацию осей систем
и
, используются эйлеровы углы
. Эти углы вводятся следующим образом [2,4,5].
Для удобства будем рассматривать еще одну систему координат –
, которая является местной для тела, т.е. ее начало в каждый момент совпадает с центром
тела, а оси ориентированы по направлениям соответствующих осей земной неподвижной системы
.
Пусть первоначально оси связанной с телом системы
были параллельны соответствующим осям системы
. Затем тело совершило некоторый поворот относительно
, в результате чего ориентация осей
в пространстве изменилась.
Любой такой поворот можно представить как сумму трех последовательных поворотов системы
относительно системы
: первый поворот осуществляется вокруг оси
на угол
(рис.2.2). Второй поворот происходит вокруг оси
связанной системы координат на угол
, и третий поворот - вокруг оси
системы
на угол
. Положительные направления поворотов соответствуют вращению против часовой стрелки, если смотреть с концов соответствующих осей вращения.
Из этих рисунков видно, что угол
, называемый углом рысканья, есть угол между проекцией оси продольной симметрии тела
на горизонтальную плоскость
и направлением оси
местной системы
;
(угол тангажа) есть угол между продольной осью
и горизонтальной плоскостью
местной системы
;
(угол крена) - угол между осью
связанной системы и вертикальной плоскостью, проходящей через оси
и
.
Связь между земной и связанной системами координат дается оператором вращения (с матрицей А), который преобразует компоненты произвольного вектора, заданного в земной системе координат
, в компоненты этого же вектора в связанной системе
. Связь между компонентами матрицы
- направляющими косинусами углов между соответствующими осями, и углами Эйлера дается выражением [2,3]:

, (2.1)
где операторы
,
, 
представляют собой операторы частичных (называемых также элементарными) поворотов осей связанной системы:
характеризует поворот относительно оси
(или
, в начальном положении эти оси совпадают) на угол
,
- поворот относительно оси
на угол
,
- поворот вокруг оси
на угол
.
Скорости изменения углов выражаются через компоненты вектора угловой скорости
следующим образом:
(2.3)
В систему уравнений кинематики твердого тела входят уравнения, связывающие компоненты скорости
в связанной системе координат
и компоненты той же скорости в земной базовой системе
. Эти уравнения определяются линейным оператором
(для простоты используем обозначение
):
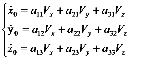
Функция изменения скорости начала координат
или
, (2.6)
Уравнения (2.3) и (2.6) составляют систему уравнений кинематики твердого тела:
, (2.7)
где
- вектор внешних координат, характеризующих положение и ориентацию связанной системы относительно базовой;
- вектор внутренних координат – проекций на связанные оси векторов линейной и угловой скоростей;
- вектор кинематических связей, состоящий из вектора линейных скоростей
и вектора угловых скоростей
.






