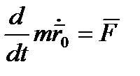
Уравнение Ньютона, соответствующее движению центра
связанной системы
в случае, когда
совпадает с центром инерции тела, имеет вид:
, (2.8)
где
- результирующая сила, действующая на тело.
Заметим, что уравнение (2.8) записано в базовой системе координат. При решении задач, связанных с организацией автономного функционирования, самоуправления подвижного объекта необходимо все уравнения динамики писать в связанной системе, т.е. все входящие в эти уравнения величины должны представлять собой компоненты физических векторов по осям системы
.
Поэтому получим уравнение, аналогичное (2.8), в связанной системе
.
Хотя модуль вектора скорости движения центра масс, рассматривается он в системе
или в
, одинаков, однако для наглядности будем обозначать этот вектор, когда он наблюдается в системе
, как
, а когда он наблюдается в системе
- через
.
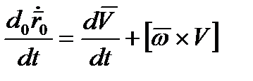
Тогда производные по времени вектора скорости центра масс тела, наблюдаемые в системах
и
, связаны между собой следующим образом:
. (2.9)
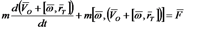
Согласно (2.9) первое векторное уравнение динамики твердого тела относительно связанной системы координат имеет вид:
. (2.10)
Заметим, что если перенести второе слагаемое в левой части (2.10) в правую часть, то его можно истолковать как дополнительную инерциальную силу.
Выражение (2.10) было выведено в предположении, что начало системы координат
, жестко связанной с движущимся телом, совпадает с его центром инерции. Однако иногда приходится выбирать начало системы
не совпадающим с центром инерции. Например, в случае с дирижаблем удобнее выбрать начало системы
в геометрическом центре корпуса дирижабля, точнее, в центре масс такого эквивалентного данному дирижабля, который бы имел ту же форму, что и корпус данного дирижабля, и функцию массовой плотности, равномерно распределенную по всему его объему. При этом центр масс реального дирижабля может быть смещенным по отношению к такому геометрическому центру как вследствие неравномерности распределения плотности по объему корпуса, так и вследствие наличия стабилизаторов, карданового подвеса с двигателями и прочего оснащения, что приводит к смещению центра масс из геометрического центра.
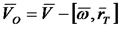
Пусть
- радиус вектор, проведенный из
- начала системы
, до точки центра масс
. Согласно формуле (2.5) для скорости начала координат
можем записать:
,
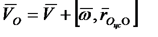
где
- радиус вектор, поведенный из точки центра масс
до начала координат системы
. Так как
, то получим:
. (2.11)
Подставляя (2.11) в (2.10), получим:
, (2.12)
Это ур-ие можно преобразовать к ур-ия в проекциях.






