Уравнение динамики вращательного движения, записанное в системе
, имеет вид:
. (2.14)
При рассмотрении моментов силы и импульса относительно местной подвижной системы
с центром в точке
уравнение динамики примет вид [4-6]:
, (2.15)
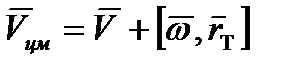
где
, (2.16)
- скорость центра масс дирижабля. Уравнение (2.15) на основании (2.16) можно преобразовать к виду
. (2.17)
При рассмотрении вращательного движения тела в системе
получим [6]:
, (2.18)
где
и
- наблюдаемые в системе
моменты импульса и силы, а также использовано равенство
, которое говорит о том, что различие проекций вектора момента силы в системах
и
обусловлено только произвольностью ориентации соответствующих осей этих систем, а не угловой скоростью
движения
относительно
[4].
Момент импульса
, наблюдаемый в неинерциальной системе
, представляется в виде [6]:
, (2.19)
где
- тензор инерции тела.
Уравнение динамики вращательного движения в общем случае:
(2.21)
Уравнения (2.21) вместе с (2.12) образуют систему уравнений динамики твердого тела относительно связанной системы
.






