Матричное представление уравнений кинематики и динамики

Систему равенств (2.3), (2.6), (2.13) и (2.22), описывающих кинематику и динамику дирижабля, и, в случае необходимости, векторное уравнение динамики приводов (2.47), можно представить в следующем матричном виде, удобном для анализа управляемости подвижного твердого тела [2]:

(2.48)

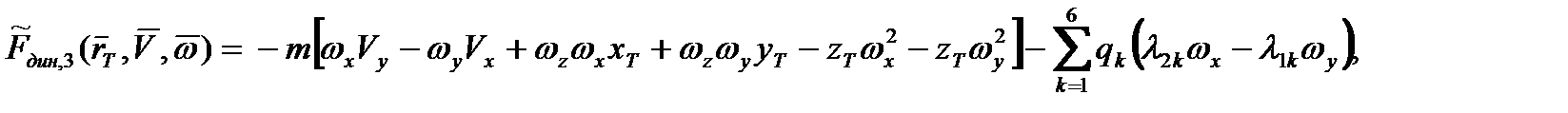
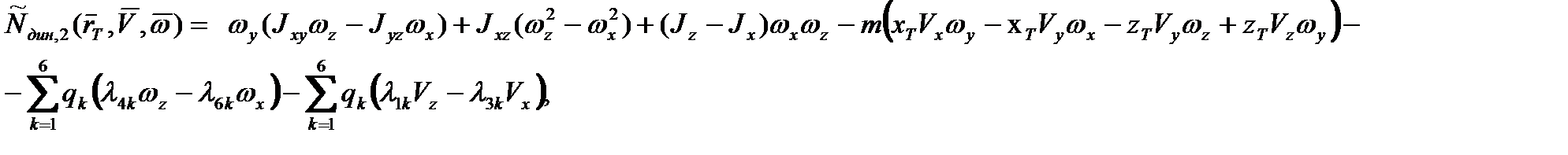
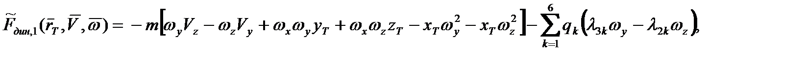
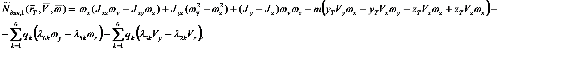
где - обобщенный вектор управляющих воздействий, - обобщенный вектор измеряемых и неизмеряемых внешних возмущений, - обобщенный вектор нелинейных элементов динамики, соответствующих нелинейным функциям от проекций линейной и угловой скоростей на связанные оси (эти нелинейные функции содержатся в левых частях равенств (2.13) и (2.22)), а также некоторым составляющим проекций аэродинамических силы и момента, зависящим от присоединенных масс тела (по этому поводу см. пункт 2.5.2.5, посвященный исследованию влияния инерционности сплошной среды); , матрицы и имеют вид:

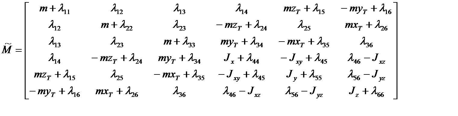
,

, (2.49)

где , - матрица вращения (2.1).

Из структуры матрицы видна роль присоединённых масс , которые добавляются к соответствующим инерционным характеристикам твердого тела. Кроме того, элементы присоединенных масс входят также и в выражения для проекций вектора нелинейных элементов динамики в (2.48).

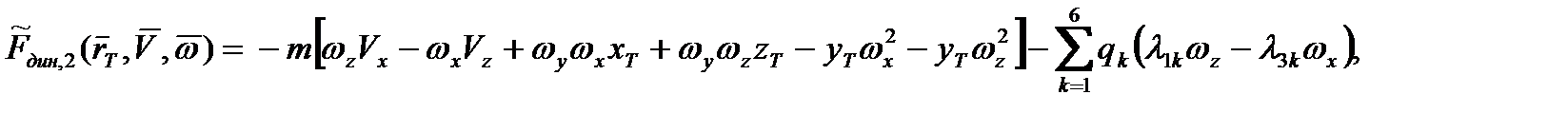
Компоненты вектора при этом даются следующими выражениями:

. (2.50)

Внешние возмущающие воздействия представляются в следующем виде:

,

, (2.51)

где проекции силы и момента , представлены в виде, аналогичном (2.37), – через соответствующие им аэродинамические коэффициенты:

, , ,

, , . (2.52)

Нахождение векторов и , входящих наряду с силой и моментом двигателей в обобщенную управляющую силу , далее будет подробно рассмотрено.

Первое векторное уравнение в (2.47) содержит, таким образом, компоненты полных аэродинамических силы и момента , имеющих большое значение. Роль и растет с ростом скорости, однако даже при небольших скоростях при решении задач управления необходимо как можно более точно знать эти силы и моменты. Поэтому рассмотрим более подробно вопрос об определении этих величин.

Из выражений (2.31)-(2.36) видно, что проекции векторов аэродинамической силы и момента могут быть представлены в виде:

, ,

, (2.53)

,

,

, (2.54)

Первые слагаемые в (2.53),(2.54) описывают движение с ускорением, поэтому зависят от присоединенных масс , от проекций векторов поступательной и вращательной скоростей тела и их первых производных; - характерная площадь дирижабля, , - его длина и объем. Вторые слагаемые, в этих выражениях в каждый момент времени зависят от скорости движения , плотности воздуха и влияния формы тела на характер обтекания воздухом при данном режиме движения, т.е. от - аэродинамических коэффициентов.

Если бы тело двигалось равномерно и прямолинейно, то первые слагаемые отсутствовали. В случае ускоренного движения дирижабля первые и вторые слагаемые сравнимы между собой, т.е. в общем случае ни одним нельзя пренебречь в сравнении с другим.

Смысл аэродинамических коэффициентов и присоединенных масс в общей динамике дирижабля мы в дальнейшем сможем выявить, рассмотрев кратко основные положения механики сплошных сред в следующем разделе 2.5.

В начале раздела 2.5 мы раскроем основные особенности аэродинамики дирижабля, которые выделяют его среди других летательных аппаратов. Эти особенности станут читателю более понятны после изучения следующих теоретических параграфов этого раздела.





Подборка статей по вашей теме: