Рассмотрим особенности аэродинамики дирижабля.
При очень малых скоростях полета, которые имеют место в режимах взлета и посадки, обтекающий поток воздуха вокруг дирижабля можно с большой точностью считать потенциальным, т.е. считать, что поле скоростей движущихся частиц воздуха потенциальное, безвихревое. (Математически это означает равенство нулю в каждой точке потока ротора скорости
и существование скалярного поля
, через которое выражаются проекции скорости частиц в каждой точке пространства в установившемся режиме:
,
,
, ([9,10])).
При малых скоростях движения дирижабля также пренебрегают сжимаемостью воздуха.
При таком режиме обтекания та часть потока, которая находится вблизи поверхности дирижабля - приповерхностный слой - полностью “повторяет” форму поверхности тела при своем движении относительно него, отсутствуют срывы потока. При этих условиях сопротивление движению дирижабля со стороны среды оказывается преимущественно силами трения, возникающими между поверхностью дирижабля и приповерхностным слоем среды. Силы аэродинамического давления, обусловленные нормальным напряжением, действующим на элементы поверхности со стороны частиц среды, при этом малы.
|
|
|
Сила трения возникает как результат наличия конечной относительной скорости движения части потока вблизи поверхности дирижабля относительно его центра масс.
Из-за этого частицы жидкости, принадлежащие приповерхностному слою, отдают свой импульс телу при соприкосновении с его поверхностью, вследствие чего формируется сила сопротивления движению тела. При этом частицы среды тормозятся и теряют также свою кинетическую энергию, которая идет на работу указанных сил сопротивления.
При наличии конечной мгновенной угловой скорости вращения тела
первоначальная относительная скорость частицы
может быть изменена по модулю и направлению за счет влияния сил инерции – центробежной и кориолисовой.
Для возникновения указанных сил инерции необходимо, чтобы та часть приповерхностного слоя, к которой принадлежит данная частица, была увлечена вращением тела, т.е. в базовой инерциальной системе имела бы составляющую скорости, соответствующую мгновенному вращению тела.
Вектор центробежной силы
равен
[5],
- единичный вектор вдоль перпендикуляра, соединяющего частицу и мгновенную ось вращения и направленного к частице;
- масса частицы,
- модуль скорости углового вращения тела,
- расстояние от данной частицы до мгновенной оси вращения тела. Из этой формулы видно, что центробежная сила действует и на частицы приповерхностного слоя, которые в данный момент покоятся в связанной неинерциальной системе.
|
|
|
Для возникновения кориолисовой силы, действующей на данную частицу, кроме выполнения указанного выше условия необходимо также, чтобы частица имела отличную от нуля относительную скорость
и, кроме того, угол между вектором
и вектором скорости
был конечен. Кориолисовы силы могут действовать на те частицы, которые еще не успели затормозиться поверхностью тела, но уже стали увлечены его вращением; а также на те частицы, которые приобретают указанную конечную относительную скорость
при отрыве от поверхности тела. Частицы, непосредственно находящиеся на поверхности тела, в силу естественной вязкости среды всегда имеют нулевую скорость относительного движения, как говорят, ”прилипают” к его поверхности, и на них может действовать только центробежная сила инерции.
Вектор кориолисовой силы
определяется выражением:
[5], т.е. всегда перпендикулярен векторам угловой скорости
вращения неинерциальной системы и относительной скорости
движения частицы среды в данной неинерциальной системе.
При установившемся движении дирижабля с некоторым вектором скорости на величину силы трения влияют три фактора: форма тела, его размеры, прежде всего линейный размер по направлению движения невозмущенного потока, и степень шероховатости поверхности, омываемой потоком.
Чем больше линейный размер тела по потоку и меньше шероховатость омываемой поверхности, тем меньше сила трения.
При указанных малых скоростях использование аэродинамических рулей неэффективно, поскольку силы лобового сопротивления малы и отсутствует срыв потока на корме и стабилизаторах дирижабля. При этих условиях рули управления не создали бы сколько-нибудь значительных управляющих силы и момента [11].
Рассмотрим картину обтекания дирижабля при средних скоростях.
Как показывают теоретические и экспериментальные результаты ([11,12]), с ростом скорости при прочих равных условиях силы трения корпуса дирижабля уменьшаются по абсолютной величине. В основном это связано с тем, что с увеличением скорости движения толщина приповерхностного слоя корпуса резко уменьшается, т.е. уменьшается число частиц, которые значительно тормозятся поверхностью тела. Причем это уменьшение по своему влиянию превосходит эффект увеличения количества движения, отдаваемого поверхности каждой частицей, тормозящейся около неё.
Силы давления на корпус, напротив, растут с ростом скорости. При некоторой критической скорости, которая для каждого дирижабля своя, силы лобового сопротивления начинают превышать силы трения. При средних скоростях обтекание корпуса лишь незначительно турбулизируется в верхней части кормы. Однако с достаточной для практики точностью обтекание корпуса при таких скоростях можно считать потенциальным.
Обтекание оперения даже при средних скоростях (на этапе набора скорости, например, после взлета) становится вихревым, непотенциальным [11]. Вихреобразование на оперении приводит к увеличению приграничного слоя, который имеет турбулентный характер, т.е. к усилению силы трения. Поэтому силы трения и давления, создаваемые оперением, с ростом скорости меняются более сложно, чем для корпуса.
Сжимаемостью воздуха при указанных средних скоростях также можно пренебречь.
При больших скоростях движения дирижабля, когда он вышел на прямолинейный участок своей траектории, на верхней части кормы пограничный слой срывается, вследствие чего здесь образуется так называемая вихревая пелена, которая сворачивается в пару вихревых жгутов.
Вихреобразование на оперении растет при этих скоростях еще более: происходит срыв потока, набегающего на оперение, и образование вихревого следа за дирижаблем. Этот след усиливается вихревыми жгутами, порожденными срывом потока с верхней части корпуса [11].
|
|
|
Силы лобового сопротивления основной части корпуса
(той части, где нет вихреобразования) при больших скоростях еще больше начинают превосходить силы трения. Это обусловлено тем, что вследствие вихреобразования в области порожденного им турбулентного следа за дирижаблем формируется область разрежения, где аэродинамическое давление становится гораздо меньшим, чем в носовой части дирижабля. Этот перепад давлений приводит к резкому возрастанию силы лобового сопротивления.
По этой же причине при больших скоростях становится эффективным использование рулей управления: чем больше отклонен руль от своего нормального положения (нормальным положением мы считаем то, когда неотклоненный руль параллелен направлению набегающего невозмущенного потока), тем большее вихреобразование имеет место и тем больше указанный перепад давлений. Поэтому при крейсерских скоростях рули стабилизаторов создают значительные дополнительные силы и моменты, которые способны эффективно управлять полетом дирижабля.
Заметим, что при крейсерских скоростях дирижабля сжимаемостью воздуха уже пренебрегать нельзя.
При движении дирижабля под углом атаки появляется подъемная сила
, которая при малых углах атаки растет пропорционально этому углу [9-13]. Однако при углах свыше
начинает проявляться нелинейность этой зависимости. Критический угол атаки, при котором происходит срыв потока с последующим резким уменьшением подъемной силы, зависит от типа стабилизаторов дирижабля, которые и обуславливают по большей части нелинейность подъемной силы от угла атаки [11]. Для стабилизаторов, имеющих большое удлинение и толстый профиль, зависимость
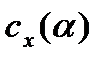
(коэффициент подъемной силы, см. вторую формулу в (2.37)) достигает максимума при критических углах атаки в диапазоне
, т.е. дирижабль с оперением такого типа по отношению к подъемной силе ведет себя как самолет, который при
достигает критического угла атаки и при дальнейшем увеличении этого угла сваливается в штопор. Типовая зависимость
для дирижабля со стабилизатором такого вида показана на рис.2.8а, кривая 1.
|
|
|
Если стабилизатор имеет малое удлинение и небольшую толщину профиля, зависимость
становится более пологой (кривая 2 на рис.2.8).
Зависимость коэффициента лобового сопротивления в связанной с дирижаблем системе координат
слабо зависит от
в рабочем диапазоне углов атаки. Типовая зависимость
приведена на рис.2.8б. При некотором характерном угле атаки, который обычно лежит за пределами рабочего диапазона,
обращается в нуль и при дальнейшем увеличении составляющая силы сопротивления по продольной оси дирижабля становится направленной вдоль положительного направления этой оси (ось
связанной системы).
Рисунок 6 – Типовые зависимости аэродинамических коэффициентов от угла атаки для дирижабля сигарообразной формы
При конечном положительном угле атаки момент тангажа
складывается из двух моментов: опрокидывающего момента и момента стабилизирующего, возникающего за счет оперения и влияния угловой скорости вращения дирижабля. Эти два момента действуют в противоположных направлениях. На рис.2.8б приведена типовая зависимость момента тангажа от угла атаки при рабочих скоростях и малости угловой скорости вращения.
Рассмотрим вопрос о влиянии скорости движения дирижабля на устойчивость этого движения в вертикальной плоскости в первом приближении [11].
При малых скоростях движения дирижабля, когда выполняется равенство
, где
- так называемая инверсионная скорость по углу атаки,
,
- метацентрическая высота (
вертикальная координата положения центра масс дирижабля в связанной системе
,
- плотность воздуха,
,
- масса и объем дирижабля), имеет место статическая устойчивость [7,10,11], т.е. малые отклонения по углу атаки приводят к появлению аэродинамического момента тангажа, стремящегося уменьшить это изменение и вернуть первоначальное значение угла атаки; при этом коэффициент момента тангажа отрицателен
.
Если скорость велика, то аппарат статически неустойчив, однако при выполнении дополнительного условия
,
где
, где
,
,
,
и предполагается наличие угловой скорости по оси
, имеет место динамическая устойчивость [7,10,11], появляющаяся за счет влияния вращательных аэродинамических сил на приращение момента тангажа при увеличении угла атаки: при увеличении
момент от указанных вращательных сил стремится уменьшить
.
Данный подход является очень приближенным. Для организации системы управления движением дирижабля необходимо использовать более точные методы анализа устойчивости, базирующиеся на теории устойчивости. Эти методы и их применение к анализу движения дирижаблей будут подробно рассмотрены в главе четвертой.
При движении дирижабля с ускорением проявляются инерционные свойства воздушной среды. Это выражается в том, что к массе и моментам инерции дирижабля как бы “прибавляются” дополнительные величины, обусловленные указанной инерционностью и называемые присоединенными массами
. Коэффициенты
, как было указано, влияют на матрицу
(2.48). Кроме того, наличие инерционных свойств сплошной среды обуславливает появление дополнительных сил и моментов, входящих в обобщенную силу за счет нелинейных элементов динамики, что видно из равенств (2.50).
Для летательных аппаратов сравнительно малого объема влиянием инерционных свойств среды обычно пренебрегают. Это связано с тем, что с уменьшением объема аппарата влияние указанных свойств уменьшается.
Однако для дирижабля учет влияния инерционных свойств среды является необходимостью в связи с относительно большим его объемом.






