Основная система уравнений динамики сплошной среды

Основной задачей аэродинамических исследований является определение силового взаимодействия и теплообмена между сплошной средой и обтекаемым телом. Решение этой задачи связано с изучением движения сплошной среды около тела, в результате которого в каждой точке потока находятся параметры, определяющие это движение, а именно: скорость, давление, плотность, температура и др. При определенных предпосылках это изучение можно свести к определению поля скоростей частиц воздуха. Затем по известному распределению скорости определяют остальные параметры, а также результирующие силы, моменты и тепловые потоки [10].

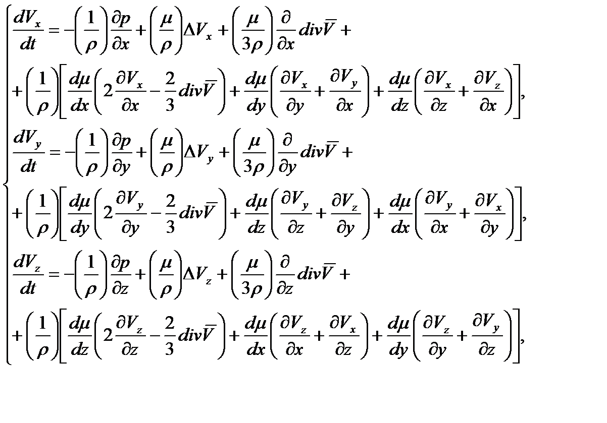
Динамика сплошной среды базируется на следующей системе дифференциальных уравнений, представляющих теоретическую основу газодинамики вязкой сжимаемой среды, – уравнениях Навье-Стокса:

(2.55)

где , - поля плотности и давления, - векторное поле скоростей, - динамический коэффициент вязкости, учитывающий трение между соседними слоями сплошной среды.

В общем случае для полного описания движения жидкости или газа необходимо систему уравнений Навье-Стокса дополнить уравнением неразрывности, уравнением состояния жидкости (термодинамическим уравнением, связывающим давление, объем и температуру жидкости) и уравнением энергии – выражающим закон сохранения энергии в общем случае для сжимаемой вязкой жидкости [9,10,13].





Подборка статей по вашей теме: