Показатели корреляционной связи, вычисленные по ограниченной совокупности (по выборке), являются лишь оценками той или иной статистической закономерности, поскольку в любом параметре сохраняется элемент не полностью погасившейся случайности, присущей индивидуальным значениям признаков. Поэтому необходима статистическая оценка степени точности и Надежности параметров корреляции. Под надежностью здесь понимается вероятность того, что значение проверяемого параметра не равно нулю, не включает в себя величины противоположных знаков.
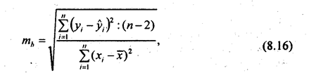
Вероятностная оценка параметров корреляции производится по общим правилам проверки статистических гипотез, разработанным математической статистикой, в частности путем сравнения оцениваемой величины со средней случайной ошибкой оценки. Для коэффициента парной регрессии Ъ средняя ошибка оценки вычисляется как:


Числитель подкоренного выражения есть остаточная дисперсия результативного признака.
В примере по данным табл. 8.1 средняя ошибка оценки коэффициента регрессии
|
|
|

Зная среднюю ошибку оценки коэффициента регрессии, можно-вычислить вероятность того, что нулевое значение коэффициента входит в интервал возможных с учетом ошибки значений. С этой целью находится отношение коэффициента к его средней ошибке, т. е. t -критерий Стьюдента:

Табличное значение t -критерия Стьюдента при 16-2 степенях свободы и уровне значимости 0,01 составляет 2,98 (см. приложение, табл. 2). Полученное значение критерия много больше, следовательно, вероятность нулевого значения коэффициента регрессии менее 0,01. Гипотезу о несущественности этого коэффициента можно отклонить: данные табл. 8.1 надежно говорят о влиянии вариации затрат на корову на вариацию надоя молока от коров. Расчет критерия Стьюдента для коэффициентов регрессии входит в программы ЭВМ и ПЭВМ для корреляционного анализа, например «Mikrostat», MAKR-4, «Statgraphics» и др.
Надежность установления связи можно проверить и по средней случайной ошибке коэффициента корреляции, вычисляемой по формуле:

Проверим значимость заведомо бессодержательного коэффициента корреляции надоя от коров с числом букв в названии сельхоз-предприятия:

Полученное значение t намного ниже его критического значения даже для значимости 0,1, составляющего 1,76. Следовательно, вероятность того, что нулевое значение коэффициента входит в возможный интервал его оценок значительно больше 0,1 и нулевая гипотеза не может быть отброшена. Конечно, анекдотический характер фактора «число букв» позволяет сделать решительный вывод об отсутствии связи. Если же проверяемый фактор на самом деле мог влиять на результативный признак, то вывод следует формулировать не в терминах отсутствия связи, а в том, что по изучаемой информации связь надежно не установлена.
|
|
|
Если коэффициент корреляции близок к единице, то распределение его оценок отличается от нормального или распределения Стьюдента, так как он ограничен величиной 1. В таких случаях Р. Фишер предложил для оценки надежности коэффициента преобразовывать его величину в форму, не имеющую такого ограничения:

Средняя ошибка величины z определяется по формуле

Величину z можно взять из табл. 6 приложения. Проверим этим способом надежность коэффициента корреляции надоя молока с затратами на 1 корову:

Значение критерия Стьюдента намного больше его критического значения для значимости 0,01. Следовательно, коэффициент корреляции с очень большой вероятностью больше нуля; связь установлена надежно. Для оценки надежности коэффициента корреляции можно воспользоваться таблицей критических значений для заданных уровней значимости (0,05 или 0,01) и числа степеней свободы (см. приложение, табл. 5).
Например, по выборке объемом 32 единицы получен парный коэффициент корреляции 0,319. Число степеней свободы для него равно 30, поскольку в расчете г участвуют две величины, значения которых закреплены - х̅ и у̅. За счет этого мы теряем две степени свободы: 32 - 2. Так как критическое значение для 30 степеней свободы равно (при уровне значимости 0,05) 0,3494, то полученное значение ниже критического по модулю. Соответственно, гипотеза о связи признаков надежно не доказана. Неверен вывод и об отсутствии связи -он также надежно не доказан. Из табл. 5 приложения видно, что при малой выборке надежно можно установить только тесные связи, а при большой численности совокупности, например, 102 единицы, надежно измеряются и слабые связи. Этот вывод важен для практической работы по корреляционному анализу.
Можно рассчитать доверительный интервал оценки коэффициента корреляции с заданной вероятностью, скажем, 0,95. При этих условиях и 13 степенях свободы вариации значение t -критерия Стьюдента равно 2,16. Тогда доверительный интервал для z составит: 1,564 ± 2,16·0,2774, т. е. от 0,965 до 2,163. Подставив эти граничные значения z в формулу (8.18), получаем границы интервала значений коэффициента корреляции: от 0,974 до 0,747. Как видим, с большой вероятностью связь на самом деле является весьма тесной, коэффициент корреляции не ниже 0,7.






