Под феноменологией понимается представление и описание основных явлений, характерных для некоторого объекта, в данном случае — для малых групп. Кое-какие явления, связанные с малыми группами, мы уже рассматривали раньше. Это явление конформности, формирования и функционирования групповых норм (см. гл. 3, § 3). Теперь остановимся на других феноменах малой группы и на основных научных понятиях, при помощи которых описываются явления в малой группе, изучаемые социальной психологией.
Одни и те же члены группы в различных характерных для нее системах отношений обычно занимают неодинаковое положение. Для более точной характеристики места каждого человека в структуре внутригругшовых отношений психологи пользуются понятиями «позиция», «статус», «внутренняя установка» и «роль».
Позиция — это понятие, обозначающее официальное положение человека в той или иной подсистеме отношений. Она определяется связями данного человека с остальными членами группы. От позиции, занимаемой человеком в группе, зависит степень его потенциального влияния на поступки остальных членов группы.
В отличие от позиции статус индивида в группе — это реальная социально-психологическая характеристика его положения в системе внутригрупповых отношений, степень действительной авторитетности для остальных участников. Когда о школьнике, например, говорят, что он занимает определенную позицию, то этим подчеркивается его официальное, должностное положение в классе (председатель совета, староста и т.п.). Если же об ученике говорят, что он имеет высокий статус, то
^Франка В. Человек в поисках смысла. — М., 1990. — С. 200—201.
под этим подразумевается, что данный школьник пользуется признанием и авторитетом среди товарищей, вызывает доверие к себе и способен оказывать на членов группы существенное Психологическое влияние.
Внутренняя установка человека в системе внутригрупповых отношений — это личное, субъективное восприятие им своего собственного статуса, то, как он оценивает свое реальное положение, свой авторитет и степень влияния на остальных членов группы. Действительный статус и его восприятие человеком могут совпадать или расходиться. Например, школьник, считающий, что товарищи по классу его уважают, на самом деле может обладать посредственным и даже низким статусом, а учащийся, который думает, что его авторитет в классе низок, напротив, может пользоваться большим влиянием на товарищей.
Следующее понятие, характеризующее положение индивида в группе, — это роль. В социальной психологии роль определяется как нормативно заданный и коллективно одобряемый образец поведения, ожидаемого от человека, занимающего в группе определенную позицию. Роль может определяться официальной должностью, может избираться самим членом группы (скажем, роль лидера, шута). Войдя в определенную роль в данной группе, человек постепенно привыкает к ней, и сами члены группы начинают ожидать от него поведения, соответствующего заданной или избранной роли. Принятая на себя роль во многом определяет восприятие и оценку человека в системе внутригрупповых отношений.
Социально-психологическую структуру группы, кроме перечисленных, описывают также в понятиях композиции, каналов коммуникаций.
Композиция — это характеристика, отражающая своеобразие индивидуального состава группы. О тех группах, которые состоят из похожих друг на друга людей, говорят, что они обладают однородной, или гомогенной, композицией. Об общностях, включающих индивидуально очень различных людей, говорят, что их композиция разнородна, или гетерогенна.
Под каналами коммуникаций понимается система межличностных связей, обеспечивающих взаимодействие и передачу информации от одних членов группы к другим. На рис. 71 представлены два основных вида структур каналов внутригрупповых коммуникаций: централизованная (А) и децентрализованная (Б), а также некоторые их варианты, чаще всего встречающиеся на практике.

Рис. 71. Типы и варианты внутригрутшовых структур коммуникаций
Централизованные структуры каналов коммуникаций характеризуются тем, что в них один из членов группы всегда находится на пересечении всех направлений общения, в центре внимания и играет основную роль в организации групповой деятельности. Через такого человека в группе осуществляется обмен информацией между другими членами группы.
На рис. 71, А показаны три варианта централизованной структуры: фронтальная, радиальная и иерархическая. Фронтальная структура каналов коммуникаций (а) характеризуется тем, что ее участники непосредственно находятся рядом и, не вступая в прямые контакты, могут все же видеть друг друга. Это позволяет им в какой-то степени учитывать поведение и реакции друг друга в совместной деятельности. Наиболее знакомым для учителя примером фронтальной структуры является та, которая образуется в классе на уроке, при фронтальной работе.
Радиальный вариант централизованной структуры коммуникаций (б) отличается от фронтального тем, что участники деятельности не могут непосредственно воспринимать, видеть или слышать друг друга и обмениваются информацией только через
центральное лицо. Это затрудняет отдельному члену группы возможность учитывать поведение и реакции остальных, зато позволяет ему работать вполне самостоятельно, независимо, до конца выявляя собственную, индивидуальную позицию.
Отличительная особенность централизованной иерархической структуры коммуникаций (в) состоит в том, что здесь имеется несколько, не менее двух, уровней соподчинения участников, причем часть из них может непосредственно видеть друг друга в процессе совместной деятельности, а часть нет. Межличностное общение каждого при этом ограничено, и коммуникации могут осуществляться в основном между двумя располагающимися рядом уровнями соподчиненности. На рис. 71, в, где показана схема такой структуры коммуникаций, у индивида 1, занимающего верхнюю ступень в иерархии соподчинения, есть непосредственный помощник 2, которому, в свою очередь, подчинены три остальных участника. Индивид 1 взаимодействует с индивидом 2, который имеет возможность общаться с теми, кто находится на ступени 3.
Типичные варианты децентрализованных структур коммуникаций, основное отличие которых от централизованных заключается в коммуникативном равенстве всех участников, представлены на рисунке под знаком Б. Понятие «коммуникативное равенство» в данном случае означает, что каждый из членов группы внутри этих структур обладает одинаковыми со всеми возможностями принимать, перерабатывать и передавать информацию, вступая в открытое, неограниченное общение с товарищами по группе.
Цепной вариант этой структуры коммуникаций (г) представляет собой такую систему общения, в пределах которой межличностное взаимодействие осуществляется как бы по цепочке. Каждый из участников, за исключением двух крайних, здесь взаимодействует с двумя соседями, а те, кто занимает крайние позиции, только с одним. Эта структура общения характерна, например, для конвейерной работы, получившей широкое распространение в промышленности.
Круговая структура коммуникаций (д) отличается от цепной. Во-первых, здесь одинаковыми возможностями располагают все без исключения члены группы. Во-вторых, имеющаяся в их распоряжении информация может циркулировать между членами группы, дополняться и уточняться. В-третьих, находясь лицом к лицу, участники такой структуры коммуникаций могут непосредственно наблюдать за реакциями друг друга, учитывать их в своей работе.
Все обсуждавшиеся нами варианты структур коммуникаций в группе в той или иной степени ограничены. В них каждый из участников располагает или неравными возможностями вступления в непосредственное общение с остальными, или равными, но тем не менее ограниченными. Наряду с рассмотренными структурами коммуникаций существует еще одна, которая называется полной или неограниченной (е). В ней никаких препятствий для свободного межличностного общения участников не возникает и каждый из членов группы может совершенно свободно взаимодействовать со всеми другими.
Выбор на практике той или другой структуры коммуникаций определяется целями и задачами, стоящими перед группой. Если, например, практическая задача заключается в совершенствовании системы общения в данной группе (например, при использовании на уроке групповых форм работы), то основное внимание должно быть обращено на каналы коммуникаций. При необходимости быстро и оперативно решить возложенные на группу задачи прежде всего определяют ее оптимальную композицию. Иногда педагога может заинтересовать положение отдельных детей в системе межличностного общения, то, как они сами представляют свое место во взаимоотношениях со сверстниками. В таком случае полезным может оказаться анализ структуры ученического коллектива или какой-либо другой детской группы с позиций ролей и внутренних установок.
Социально-психологическую основу всех отношений, складывающихся в группе, составляют принятые в ней нравственные ценности и нормы. Ценностями является то, что в данной группе наиболее значимо, важно и ценно. Из нравственных ценностей обычно вытекают те нормы, которыми в своих отношениях руководствуются члены группы. В управлении деятельностью группы нормы выполняют ряд важных функций. Наиболее существенные из них — регулятивная, оценочная, санкционирующая и стабилизирующая.
Регулятивная функция норм состоит в том, что они определяют (регулируют) поведение людей в группе и за ее пределами (если речь идет о них как о представляющих свою группу), задают образцы их взаимодействий и взаимоотношений, формируют основные требования, предъявляемые к членам данной группы самими ее участниками.
Соответствие поведения человека принятым в группе нормам существенно влияет на его положение в системе отношений данной группы. Влияние это многостороннее: с одной сто-
роны, если человек следует сложившимся и принятым в группе нормам, то повышается его авторитет в глазах окружающих; с другой — признание значимости человека, повышение его статуса влияет на других членов группы. От него в определенной степени начинает зависеть и сама совокупность складывающихся в группе норм и отношений: он становится их генератором.
Представление о правильности или неправильности групповых ценностных ориентации и норм в известном смысле относительно. Оно бывает различным у людей, которые эту правильность определяют. То, что кажется, например, безусловно правильным учителю, может не показаться таковым для учеников, и наоборот. У младших школьников свои понятия о ценностях, как правило, отличные от того, что ценят старшие школьники и тем более взрослые. Поэтому в каждом конкретном случае при определении групповых норм, их приемлемости или неприемлемости целесообразно предварительно уточнить субъекта, с позиций которого они оцениваются.
Важно ввести еще одно разграничение. Относительность норм выражается также и в том, что для одного и того же человека одновременно могут существовать нормы разного уровня (степени) обязательности. Под групповой нормой первого уровня обязательности понимается социальная норма, нарушение которой совершенно недопустимо. Нормой среднего уровня обязательности можно назвать такую, которая допускает некоторые незначительные отклонения от нее. Наконец, нормой низкого уровня обязательности является такая, соблюдение которой считается делом вкуса, а отклонения от нее никакому наказанию не подлежат. К нормам первого уровня относятся, например, юридические нормы, нарушение которых карается по закону; к числу норм второго уровня можно отнести большую часть норм нравственности, не сформулированных в жесткой форме нравственных императивов (например, норма «сбыть честным» в некоторых случаях жизни допускает отклонения). Нормой низкого уровня обязательности может быть такая, которую человек сам устанавливает для себя и которой вовсе не обязательно должны следовать остальные члены группы. К этой категории можно отнести особо высокие нравственные социальные нормы, выступающие в форме идеалов. Носителями этих норм являются обычно передовые люди своего времени. Для характеристики поведения таких людей существует специальное понятие «сверхнормативная деятельность».
Сверхнормативная деятельность проявляется в том, что, не довольствуясь теми нормами, которыми руководствуются дру-
гие, человек сам для себя выбирает и устраивает более высокие нормы и следует им. Речь в данном случае идет, конечно, о таких нормах, смысл которых заключается в принятии человеком на себя добровольных обязательств по осуществлению деятельности, полезной для других людей. Примером такого рода деятельности могут служить разнообразные формы просоциаль-ного поведения, уже рассмотренные нами.
Управление группой, ее самоуправление, воздействие на психологию и поведение отдельных членов группы обычно осуществляется и через официально назначенных лиц — руководителей, и через неофициальных лиц, пользующихся авторитетом среди членов данной группы, имеющих в ней высокий статус и именуемых лидерами. Авторитет лидера в группе обычно не менее силен, чем авторитет руководителя. Лидер в состоянии поднять, увлечь членов группы на любое дело. Нужен ли лидер в группе и почему он появляется в ней?
Права, данные руководителю группы, не всегда достаточны для того, чтобы в любой момент деятельности побудить членов группы на совершение нужных поступков. В жизни любой группы немало таких моментов, когда нужно убеждать, а не приказывать, просить, а не распоряжаться, и здесь лидер незаменим. В роли лидеров могут выступать и официальные руководители групп, но. на практике это случается редко, так как качества лидера и руководителя, их внутригрупповые функции не только не совпадают, но иногда прямо противоположны. Например, задача руководителя в конфликтной ситуации, мешающей работе, заключается в том, чтобы снять конфликт и сделать так, чтобы он не мешал работе. Права, данные руководителю, иногда допускают делать это ценой ущерба, наносимого некоторым личным интересам отдельных членов группы. В этой же ситуации задача лидеров будет совсем иной: снять конфликт путем принятия во внимание личных интересов каждого участника, даже ценой нанесения некоторого ущерба работе. В заботах руководителя на первом месте обычно находится дело, а в хлопотах лидера — человек со всеми его эмоциями. Далеко не все руководители, успешно справляющиеся с «деловыми» функциями, столь же уютно чувствуют себя, когда в группе возникают проблемы межличностных отношений. Часто хороший руководитель является посредственным лидером, и наоборот.
Но при всех условиях лидер в группе нужен. Его необходимость диктуется тем, что в каждой группе существуют и должны кем-то регулироваться две взаимодополняющие системы от-
ношений: деловые и личные. Если каждая из них не отрегулирована, если отношения, складывающиеся в одной системе, противоречат отношениям, культивируемым в другой, то такая группа не сможет успешно работать, никогда не станет высокоэффективной. Это обстоятельство и требует наличия в группе лидера наряду с официальным руководителем.
Кто может стать и реально становится лидером в группе? Как и при каких условиях это происходит? На два этих вопроса в науке имеются разные ответы. Обсудим их..
Одни ученые считают, что настоящим лидером в группе, способным повести за собой остальных ее членов, становится человек, который обладает особым набором лидерских личностных черт. Эти черты, полагают сторонники данной точки зрения, даны человеку от природы. Тот, кто лишен специфических лидерских черт и способностей, никогда не становится хорошим, признанным лидером, имеющим высокий статус в группе.
Несмотря на внешнюю простоту и привлекательность данной точки зрения, которая, казалось бы, подтверждается и жизненными наблюдениями (действительно, далеко не каждый человек в жизни становится хорошим лидером), до сих пор не удалось обнаружить у лидеров каких-либо специфических особенностей, свойственных только им и существенно отличающих их от остальных людей. В силу этого обстоятельства возникла альтернативная точка зрения, отрицающая наличие у лидера специфических черт: выход человека в лидеры — результат взаимодействия между ним и группой. Если индивидуальные особенности этого человека, проявленные им в совместной деятельности и общении с остальными членами группы, соответствуют требованиям сложившейся ситуации, то в этой ситуации он становится лидером. При изменении групповой задачи и требований ситуации лидером может стать кто-то другой. В принципе для каждого человека в группе можно определить такие условия, при которых он станет лидером, и для этого вовсе не обязательно обладать какими-то специальными «лидерскими» чертами.
Истина скорее всего находится между этими двумя позициями и предполагает их интеграцию. Чаще всего лидером становится тот, у кого есть какие-либо особенности, ценимые членами группы, и одновременно тот, кто располагает чертами, нужными группе именно в данный момент времени.
Кроме понятия лидерства в психологии используется другое уточняющее представление о нем, в частности понятие стиля
18. Р. С. Немов. книга 1
лидерства. Стиль лидерства — это совокупность средств психологического воздействия, которыми пользуется лидер для оказания влияния на других членов группы, среди которых он имеет высокий статус. Традиционно принято различать три основных стиля лидерства: авторитарный, демократичный и либеральный.
Авторитарный стиль характеризуется выраженной властностью лидера, директивностью его действий, единоначалием в принятии решений, систематическим контролем за действиями ведомых. Авторитарный лидер обычно не позволяет зависимым от него людям вмешиваться в руководство, подвергать сомнению, оспаривать принимаемые им решения. Он четко разделяет свои собственные права и обязанности ведомых, ограничивая действия последних лишь исполнительскими функциями. Для него идеальный подчиненный — дисциплинированный исполнитель.
Демократичный стиль лидерства отличается от авторитарного тем, что лидер постоянно обращается к мнению зависимых от него людей, советуется с ними, привлекает их к выработке и принятию решений, к сотрудничеству в управлении группой. Он не проводит четкой линии между собственными правами и обязанностями ведомых. Часть своих полномочий он добровольно передает членам группы; они в свою очередь так же добровольно принимают на себя часть его обязанностей, если в этом возникает необходимость. Демократичный лидер особенно ценит таких подчиненных, кто самостоятелен и инициативен, творчески подходит к работе. Он уделяет большое внимание не только деловым, но и личным взаимоотношениям в группе.
Либеральный стиль лидерства — это такая форма поведения лидера, при которой он фактически уходит от своих обязанностей по руководству группой и ведет себя так, как будто он не лидер, а рядовой член группы. Все вопросы внутригрупповой жизни в этом случае решаются коллективным мнением, которое в группе принимается как закон, и этому в своем поведении следуют не только рядовые участники группы, но и сам ее лидер. Фактически в данном случае он является лидером лишь номинально.
На протяжении многих лет исследования лидерства перед психологами неоднократно возникал вопрос: какой из рассмотренных стилей лидерства наиболее целесообразен? Поначалу, когда только еще зарождались соответствующие исследования, считалось, что демократичный стиль лидерства является наилучшим. Действительно, в нем больше привлекательных черт,
чем в других. При данном стиле лидерства в группе создается самая благоприятная атмосфера для творческой работы и для удовлетворения других важных социальных потребностей людей. Этот стиль лидерства способствует постановке и решению группой наиболее сложных задач. Он и людьми психологически воспринимается как наиболее благоприятный.
И, тем не менее, сказать, что данный стиль лидерства является наилучшим и к нему надо стремиться во всех без исключения случаях жизни, нельзя. Нередко предпочтительнее оказывается авторитарный и даже либеральный стиль лидерства, например, когда в условиях дефицита времени необходимо добиться высокой организованности, дисциплины, согласованности действий или когда необходимо принимать решение, которое затрагивает интересы всех членов группы. Поэтому на практике самым удачным является не какой-либо один из трех перечисленных стилей лидерства, а гибкий, или комбинированный, стиль лидерства, при котором лидер, умея вести себя по-разному, гибко меняет стиль своего поведения в зависимости от сложившейся в группе обстановки.
МЕЖЛИЧНОСТНЫЕ ОТНОШЕНИЯ В ГРУППАХ И КОЛЛЕКТИВАХ
Особое внимание в ходе социально-психологического изучения групп и коллективов уделяется взаимоотношениям. Они, в свою очередь, делятся на официальные и неофициальные, отношения руководства и подчинения (в частности, лидерства), деловые и личные, рациональные и эмоциональные.
Официальными называют отношения, возникающие между людьми на должностной основе. Они фиксируются законом, регулируются положениями, утвержденными официально, соответствующими правилами и нормами. В отличие от них неофициальные отношения складываются на базе личных, или частных, взаимоотношений людей. Для них не существует соответствующей юридической основы, общепринятых законов, твердо установленных норм.
Деловые отношения возникают в связи с совместной работой или по ее поводу, а личные — как отношения, складывающиеся между людьми независимо от выполняемой работы.
В рациональных межличностных отношениях на первый план выступают знания людей друг о друге и объективные оценки,
1 β*
которые им дают окружающие. Эмоциональные отношения — это, напротив, оценки субъективные, основанные на личном, индивидуальном восприятии человека человеком. Такие отношения обязательно сопровождаются положительными или отрицательными эмоциями; они далеко не всегда основаны на действительной, объективной информации о человеке.
Отношения руководства и подчинения мы уже кратко рассмотрели на примере лидерства.
Межличностные отношения в группе можно рассматривать в статике, в том виде, в каком они сформировались на данный момент времени, и в динамике, т.е. в процессе развития. В первом случае анализируются особенности существующей системы отношений, во втором — законы их преобразования и развития. Эти два подхода часто соседствуют друг с другом, взаимно дополняют друг друга, и это характерно, в частности, для дальнейшего рассмотрения их в учебнике.
Отношения в группах закономерно изменяются. Сначала, на исходном этапе группового развития, они бывают относительно безразличными (люди, не знающие или слабо знающие друг друга, не могут определенно относиться друг к другу), затем могут становиться конфликтными, а при благоприятных условиях превращаться в коллективистские. Все это обычно происходит за сравнительно короткое время, в течение которого индивиды, составляющие группу, не могут измениться как личности. Как согласовать сложную динамику и ситуативную изменчивость внутригрупповых отношений с относительной личностной устойчивостью?
Это можно сделать, предположив зависимость межличностных отношений не только от включенных в них людей, но также и от социальных ситуаций, в которых эти отношения формируются и развиваются, т.е. встав на позиции интеракционизма в интерпретации поведения и отношений личности. Согласно ин-теракционистской теории личность, будучи внутренне относительно устойчивой в своих базовых свойствах, внешне может проявлять себя по-разному в зависимости от складывающихся обстоятельств.
У каждого человека есть свои положительные и отрицательные черты, свои особые достоинства и недостатки. То, какой стороной, положительной или отрицательной, он выступает во взаимоотношениях с людьми, зависит от этих людей и социального окружения, от особенностей группы, в которую он включен в данный момент времени. Иначе говоря, поведение чело-

Рис. 72. Влияние групп разного уровня развития на поведение личности и межличностные отношения в группе: (+) — положительное в личности и межличностных отношениях; (—) — отрицательное в личности и межличностных отношениях; (<->) — отношения; ($) — поворот отношений в любую сторону
века в группе определено не только личностью, но и особенностями группы.
Замечена такая закономерность: чем ближе по уровню своего развития группа находится к коллективу, тем более благоприятные условия она создает для проявления лучших сторон в личности и торможения того, что в ней есть худшего. И напротив, чем дальше группа по уровню своего развития отстоит от коллектива и чем ближе она находится к корпорации (так называют группу, в которой складываются отношения, противоположные коллективистским), тем большие возможности она предоставляет для проявления в системе взаимоотношений худших сторон личности с одновременным торможением лучших личностных устремлений (рис. 72).
Поясним то, что изображено на этом рисунке. В верхней его части кружками показаны два индивида — члены некоторой группы. Допустим, что вне группы положительное и отрицательное в проявлениях личности уравновешено и поэтому возникающие эпизодические отношения эмоционально нейтральны. Таковыми они являются, например, в только что образованной из случайных людей группе.
Эти отношения нестабильны и в любой момент могут непредсказуемо измениться, повернуться в любую сторону, что показано двусторонними полукруглыми стрелками по краям на второй сверху части рисунка.
В развитом коллективе благодаря особым нормам отношений, способствующим проявлению лучших сторон в личности и препятствующим проявлению худших, человек вынужден вести себя положительно по отношению к товарищам по группе. В корпорации, напротив, часто поощряются индивидуалистические наклонности, и групповая мораль, характерная для таких малых групп, вынуждает индивидов с целью самозащиты и отстаивания своих личных интересов проявлять себя в системе взаимоотношений с худшей стороны.
Мы описали возможную динамику взаимоотношений в микрогруппе-диаде, включающей только две личности. Такие группы довольно широко представлены в действительности. Они включают, например, близких друзей, молодые семьи; они же наиболее часто встречаются в любой малой группе, так как отношения между достаточно большим количеством людей всегда можно представить в виде конечного множества взаимоотношений, имеющихся между всевозможными парами людей, на которые можно разделить группу.
Однако в целом отношения в малой группе не сводимы к диадическим, поскольку для каждой пары наугад взятых людей можно выделить значимых для них других членов той же самой малой группы, отношения которых к каждому члену данной пары влияют, в свою очередь, на их личные взаимоотношения. Следовательно, парные взаимоотношения всегда строятся с учетом отношений с другими окружающими данную пару людьми.
По этой причине более представительной моделью отношений, имеющихся в любой малой группе, является система взаимоотношений, существующих в микрогруппе-триаде. Их возможные варианты в тех же обозначениях, которые использованы на рис. 72, показаны на рис. 73.

Рис. 73. Варианты взаимоотношений в микрогруппе — триаде
Межличностные отношения членов группы-триады, как и взаимоотношения участников группы-диады, могут быть трех типов: положительные, отрицательные и неодинаковые (когда один относится к другому положительно, а тот к нему, напротив, отрицательно). Различные сочетания этих типов отношений порождают разные варианты взаимоотношений в группе-триаде. Первый вариант — гармонические взаимоотношения (А). Они характеризуются тем, что между тремя различными парами, на которые может быть разделена группа-триада, складываются или только положительные, или только отрицательные вза-
имоотношения. В идеальном случае, например, в небольшой группе, включающей трех друзей, между составляющими группу людьми могут существовать лишь положительные взаимоотношения. Во всех других случаях между двумя парами имеются положительные или отрицательные взаимоотношения, а между членами третьей пары — противоположные им по знаку.
Второй вариант триадных микрогрупповых отношений (Б) — противоречивые. При таких взаимоотношениях в какой-либо одной паре внутри группы-триады один из ее членов относится к другому положительно, а тот к нему — отрицательно. Совместимыми диадическими называются такие противоречивые отношения, когда в группе-триаде можно выделить хотя бы одну пару людей, имеющих между собой хорошие личные взаимоотношения. Несовместимыми противоречивыми называются отношения, система которых характеризуется тем, что в ней нет ни одной пары с положительными личными взаимоотношениями. Наконец, совместимыми триадными можно назвать такие взаимоотношения, при которых, несмотря на их противоречивость, группа-триада как социально-психологическая общность продолжает сохранять свое единство за счет того, что, по крайней мере, две пары из трех возможных, выделяемых в ней, имеют между собой хорошие личные взаимоотношения. Тем самым они как бы нейтрализуют отрицательное влияние на сплоченность группы противоречивых отношений в третьей паре.
Взаимоотношения в группах-триадах могут быть и конфликтными. Для них характерно то, что в группе невозможно выделить ни одной пары, внутри которой имелись бы положительные личные взаимоотношения. В силу этого обстоятельства данная группа как социально-психологическая общность людей вообще не может сохраняться и распадается. Среди конфликтных отношений можно, в свою очередь, выделить два возможных варианта. Первый — это частично-конфликтные взаимоотношения, при которых между одними парами индивидов имеются конфликтные, а между остальными — неодинаковые отношения. Второй вариант — конфликтные взаимоотношения существуют между всеми возможными парами, на которые может быть разделена данная группа. Этот тип взаимоотношений называется «полноконфликтным».
Если объединить варианты взаимоотношений, существующих в группах-диадах и группах-триадах, то можно получить достаточно представительную картину отношений, которые встречаются в малых группах.
Состав микрогрупп и соответственно структура отношений в них бывают очень сложными. Например, в старших классах школы нередко можно встретить объединения детей, включающие четыре и даже пять человек, соединенных близкими дружескими связями. Однако в большинстве реальных групп на практике такие объединения школьников встречаются крайне редко; поэтому можно считать, что группы-диады и группы-триады представляют собой наиболее типичные микрогруппы, из которых состоит любая малая группа. Их внимательное изучение может дать много полезного для понимания более сложной системы взаимоотношений, имеющихся в малой группе или коллективе.
Статическую картину внутригрупповых отношений можно получить с помощью методики, которая называется социометрия. Слово «социометрия» буквально обозначает «социальное измерение». Чаше всего этот термин используют для характеристики комплекса методик, предназначенных для исследования личных, эмоционально-непосредственных отношений: взаимных симпатий и антипатий людей, их взаимной привлекательности и непривлекательности, авторитетности или неавторитетности. Кроме того, социометрическая методика позволяет выявить лидера в группе или коллективе, а также оценить их сплоченность.
Процедура применения методики следующая: 1. Члены группы получают инструкцию, в которую заложен социометрический критерий — основание для проявления взаимных эмоциональных отношений. Таким критерием может явиться любой повод, в частности — некоторая предполагаемая совместная деятельность членов данной группы. 2. Исходя из заданного критерия, членам группы предлагается высказаться друг о друге, осуществить взаимные выборы или отклонения, предпочесть или отвергнуть друг друга. Делается это на основе серии специальных вопросов, отвечая на которые члены группы в письменной форме выражают свои предпочтения друг другу. 3. Полученные письменные ответы на соответствующие вопросы статистически обрабатываются и представляются в виде социометрической матрицы, различных социограмм и социометрических индексов, по которым судят о системе межличностных, эмоционально-непосредственных личных отношений в данной группе и о положении, занимаемом каждым членом группы в системе этих отношений.
Перед началом социометрического исследования члены группы получают инструкцию примерно следующего содержания
(приводимый текст инструкции предназначен для изучения школьного класса):
«Дорогие ребята! Ваш класс существует уже давно. За это время вы хорошо узнали друг друга и между вами сложились определенные отношения: симпатии и антипатии. С кем-то вы дружите, хотели бы и дальше продолжать оставаться в одном классе, к кому-то испытываете неприязнь, хотели бы, чтобы его перевели в другой класс, или сами перейти в другой класс. При формировании класса ваши пожелания на этот счет не могли быть учтены. Сейчас есть такая возможность. Представьте себе, что создается новый класс и каждый из вас по собственному желанию определяет его состав. Кого из ваших товарищей по данному классу вы обязательно включили бы вместе с собой в новый класс? Кого бы вы точно не включили? Как вы думаете, а кто включит вас? Кто вас определенно не включит в состав нового класса? На каждый из этих вопросов необходимо дать письменный ответ, перечислив в порядке предпочтения (отклонения) товарищей по классу в соответствии со смыслом вопроса».
Полученные от членов группы письменные ответы переносятся в специальную таблицу, которая называется «социометрическая матрица» (рис. 74). Матрица устроена следующим образом. Слева по вертикали и сверху по горизонтали перечислены фамилии членов изучаемого коллектива в одном и том же порядке (лучше в алфавитном). В социометрическую матрицу переносятся данные о выборах, сделанных каждым членом группы. Их порядок обозначается цифрами. Взаимные выборы обводятся кружками. В нижней строке матрицы и в ее крайнем правом столбце представляются результаты суммирования индивидуальных выборов, а именно: в нижней строке содержатся суммы выборов, полученных каждым членом группы, а в правом столбце — суммы выборов, сделанных каждым членом группы (соответственно, ожидаемых выборов и ожидаемых отклонений, просто отклонений — ответы на второй, третий и четвертый вопросы1).
Просматривая нижнюю строку матрицы, можно определить, кто из членов группы получил больше всего выборов. Этого человека, вероятно, и следует считать лидером в данной группе.
Социометрическая матрица не позволяет получить достаточно наглядную картину взаимоотношений в группе, поэтому кро-
'В дальнейшем для сокращения мы будем говорить только о выборах, хотя все сказанное относится и к ответам на остальные три вопроса.
| Фамилия ученика | Ибанов | Петров | Егоров | Сидоров | • • • | СДЕЛАННЫЕ ВЫБОРЫ |
| Иванов | X | |||||
| Петров | X | |||||
| Егоров | X | б | ||||
| Сидоров | X | |||||
| • • | • • • | • • • | ||||
| Полученные ВЫБОРЫ | • • • | ∑ |
Рис. 74. Социометрическая матрица (фрагмент)
ме нее для графического представления результатов используются специальные диаграммы, называемые социо граммами. На соответствующих рисунках в условной системе обозначений представляются выявленные в исследованной группе взаимоотношения.
Социограммы бывают двух видов: групповые и индивидуальные. Первые представляют всю систему внутригрупповых отношений в целом, вторые — отношения, сложившиеся между отдельными группировками внутри группы или отдельными членами группы с остальными. Групповые социограммы, в свою очередь, также имеют две разновидности: масштабная социог-рамма (рис. 75) и социограмма-мишень (рис. 76). На масштабной социограмме члены группы изображаются в виде кружков, соединенных между собой стрелками, направленность которых

Рис. 75. Масштабная социограмма, наглядно представляющая взаимоотношения в группе, включающей 11 человек. На рисунке видно четкое разделение данной группы на две подгруппы а) и б) со своими лидерами А и Б
указывает на характер отношений, а длина свидетельствует о близости этих отношений. Чем ближе друг к другу изображены члены группы на данной социограмме, тем лучше имеющиеся между ними взаимоотношения. Из приведенного на рис. 76 примера видно, что представленная на нем группа включает 11 человек, причем они делятся на две группировки, не связанные между собой определенными отношениями. Каждая из них имеет своего лидера: А и Б.
Социограмма-мишень представляет собой систему концентрических окружностей, количество которых обычно равно максимальному числу выборов, полученных лидером. На рис. 76 представлена социограмма-мишень группы, в которой наибольшее число выборов равно 5. Выборы указаны стрелками. В концентрических окружностях члены группы размещены в соответствии с числом полученных ими выборов. Вертикальными и горизонтальными линиями, проходящими перпендикулярно друг другу через центр, вся социограмма-мишень разделена на четыре сектора, представляющих детей разного пола и возраста (всего четыре различных сочетания указанных признаков).
При помощи социограммы-мишени можно судить не только о том, кто и какое место занимает в группе, но также о том, какие взаимоотношения сложились между всеми членами группы.

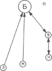
Для более детального анализа положения отдельных членов группы в системе личных взаимоотношений обращаются к построению индивидуальных социограмм (рис. 77).
Данные социометрического обследования группы, представленные в виде матрицы и социограмм, дополняются социометрическими индексами, количественно характеризующими группу. Наиболее известный из них — индекс групповой сплоченности. Он определяется по формуле:

где ∑ββ — сумма взаимных выборов, сделанных членами данной группы; ∑max — максимально возможное число взаимных

Рис. 76. Социограмма-мишень, представляющая взаимоотношения в группе,
состоящей из 11 человек

Рис. 77. Индивидуальные социограммы, характеризующие положения лидера (А) и не пользующегося признанием, отвергаемого всеми членами группы (Б) в системе личных взаимоотношений
выборов в данной группе. Оно, в свою очередь, устанавливается по следующей формуле:
и (л - 1)

2 где п — число членов в изучаемой группе.






