В каком бы виде ни был записан тензор поворота – через направляющие косинусы или в виде композиции поворотов, угол поворота и ось поворота определяются из выражений для следа и векторного инварианта тензора поворота: 
След и векторный инвариант
.
Рассмотрим композицию поворотов
вокруг осей, заданных единичными векторами
, угол между которыми равен
. Постараемся получить как можно более простые выражения для «суммарного» угла поворота
и оси поворота
через углы
и
и оси
.
Перемножив тензоры и заменив в произведении диадные произведения скалярными и векторными, без труда найдем соответственно
и
:

,



Эти выражения, приведенные в [3], можно упростить, перейдя в тригонометрических функциях к половинным углам.
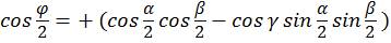
Так, из выражения для
получим:

откуда, опуская элементарные (хотя и весьма громоздкие) выкладки, получим:
или
.(4.24)
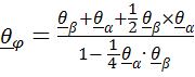
Аналогично, выражение для векторного инварианта преобразуется к виду:


(4.25)
Формулы (4.24), (4.25), определяют угол и ось «суммарного» поворота. Они значительно проще приведенных в [5] громоздких и «малопривлекательных», по выражению П.А. Жилина, формул. Заметим, что знак (+) в (4.24) выбран из тех соображений, что если, например,
, то угол
должен быть равен другому:
и
.
Если ввести векторы конечных поворотов Родрига [10]:

то формула (4.25) принимает форму правила сложения конечных поворотов:
.






