Имеются две системы отсчета: называемая неподвижной система S, в которой будут написаны все формулы, и подвижная
4.12).
| Рис. 4.12. Системы отсчета |
| • |
|
|
|
|
|
|
|
|
|
|
| S |
|
Движение точки по отношению к неподвижной системе называется абсолютным; скорость и ускорение обозначаются 
Движение точки по отношению к подвижной системе называется относительным; скорость и ускорение обозначаются 
Движение подвижной системы по отношению к неподвижной называется переносным; скорость и ускорение того места подвижной системы, где в данный момент находится рассматриваемая точка, обозначаются
. Вектор положения точки в неподвижной системе может быть представлен в виде суммы
Разложим
по базису подвижной системы:
,
где
– координаты относительного движения точки. Таким образом,
. (4.26)
Для упрощения записи формул далее символ зависимости величин от времени опустим.
Дифференцируя (4.26) и заменяя по формуле Эйлера
, где
– угловая скорость подвижной системы, получим:

. (4.27)
Первые два слагаемых – уже знакомая скорость того места подвижной системы, где находится наблюдаемая точка, т. е. переносная скорость
, (4.28)
а сумма произведений производных относительных координат
и базисных векторов подвижной системы
является относительной скоростью:
. (4.29
Итак, абсолютная скорость равна сумме переносной и относительной:
(4.30)
Продифференцируем (4.27):
.
Подставив в это выражение
– вектор углового ускорения подвижной системы, ранее полученную формулу (см. 4.27)
, формулу Эйлера
,получим:

Первые три слагаемые – ускорение того места подвижной системы, где находится точка, т.е. переносное ускорение
, (4.31)
сумма произведений производных относительных координат
и базисных векторов подвижной системы
является относительным ускорением
, (4.32)
а последнее слагаемое называется ускорением Кориолиса
. (4.33)
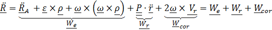
Получили теорему о сложении ускорений (теорему Кориолиса):
а бсолютное ускорение равно сумме переносного ускорения, относительного и ускорения Кориолиса:
(4.34)
где
.
Заметим, что скорость
и ускорение
обычно называют относительными скоростью и ускорением, измеряемыми «подвижным наблюдателем», что не совсем верно, поскольку для подвижного наблюдателя подвижный базис
является неподвижным;
, т. е. «истинные» относительные скорость и ускорение
, а
и ускорение
– это повернутые вместе с подвижной системой «истинные».
Все изложенное можно кратко получить, используя тензор поворота. Вектор положения точки в неподвижной системе представим в виде суммы:
,
где
–тензор поворота подвижной системы отсчета;
– вектор в неподвижной системе, описывающий относительное движение;
– повернутый вместе с подвижной системой вектор
, т.е. вектор относительного положения, каким его видит неподвижный наблюдатель (рис. 4.12). Дифференцируя это равенство и воспользовавшись формулой Пуассона
получим теорему сложения скоростей:

а дифференцируя еще раз – теорему о сложении ускорений:
.






