Углы Эйлера. Традиционно углы Эйлера вводятся следующим образом. Переход из отсчетного положения
в актуальное
осуществляется тремя поворотами (рис. 4.7):
1. Поворот вокруг
на угол прецессии
При этом
переходит в положение
(
в
). Этот поворот описывается тензором
.
| Рис. 4.8. Углы Эйлера (волчок) |
2. Поворот вокруг

на угол
нутации 
. При этом

,

. Этот поворот описывается тензором

.
3. Поворот вокруг
на угол собственного вращения
– тензор
.
Таким образом, результирующий тензор поворота равен
. (4.18)
Для наглядности на рис. 4.8 изображен волчок и углы Эйлера, описывающие его ориентацию.
Покажем, что традиционная последовательность поворотов (4.18) может быть заменена последовательностью поворотов на те же самые углы вокруг неподвижных осей:
1. Поворот вокруг
на угол собственного (чистого) вращения
.
2. Поворот вокруг
на угол нутации
.
3. Поворот вокруг
на угол прецессии
.
Поскольку
,
,то по теореме (4.12)
,
.
Подставляя эти выражения в (4.18), получим с учетом 
. (4.19)
Разумеется, преимущество (4.19) по сравнению с (4.18) в том, что оси поворотов неподвижны.
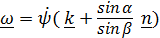
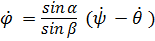
Вектор угловой скорости по теореме о сложении угловых скоростей (4.16)
.
Это же (правильное) выражение обычно получают из (4.18), применяя правдоподобные рассуждения о сложении «бесконечно малых» поворотов; применив их к другой последовательности поворотов, например (4.19), получим абсолютно неверный результат:
.
Из (4.19) видно, что при малом угле нутации
, когда
, тензор поворота
. Видим, что углы
и
в линейном приближении становятся неразличимыми и входят в уравнения в виде суммы (
. В этом неудобство углов Эйлера.
Самолетные (корабельные) углы (рис. 4.9). Переход из отсчетного положения
в актуальное
можно осуществить тремя поворотами (повернуть самостоятельно!):
1. Поворот вокруг
на угол рысканья
, при этом
.
2. Поворот вокруг
на угол тангажа
, при этом
.
| Рис. 4.9. Самолетные углы |
3. Поворот на угол крена

вокруг

.
Тензор поворота равен:
.(4.20)
Выражение «можно осуществить» неслучайное; нетрудно понять, что возможны и другие варианты, например, повороты вокруг фиксированных осей.
Применяя теорему о тензоре поворота с повернутой осью (4.12) из того, что
,
, получим:


.
Таким образом, получили следующую композицию поворотов вокруг неподвижных осей:
1. Поворот вокруг
на угол крена
(рискуя сломать крылья),
2. Поворот вокруг
на угол тангажа
(подъем «носа»),
3. Поворот вокруг
на угол рысканья
.
Тензор поворота и вектор угловой скорости имеют вид:
; (4.21)
.
Трехстепенной гироскоп в кардановом подвесе ( рис. 4.10).Карданов подвес имеет три физических оси поворота, поэтому нетрудно догадаться, как тремя поворотами вокруг неподвижных осей перевести ротор гироскопа из отсчетного положения в актуальное. Разумеется, последовательность поворотов может быть любой, но, как мы убедились, повороты вокруг неподвижных осей самые удобные. Тензор поворота и вектор угловой скорости имеют вид:
; (4.22)
.
| Рис. 4.10. Трехстепенной гироскоп |
Физические оси позволяют правильно найти угловую скорость как сумму угловых скоростей вращений вокруг этих осей в актуальном положении.
Движение конуса по конусу (рис. 4.11). Ориентация подвижного конуса (шестерни) задается двумя углами – углом поворота
вокруг неподвижной оси (вектора
) и углом
вращения вокруг собственной оси, актуальное положение которой задается вектором
.
| Рис. 4.11. Качение конуса (шестерни) |
Тензор поворота
– повороты производятся вокруг неподвижных осей. Вектор угловой скорости
. (4.23)
Если нет проскальзывания, то длина дуги окружности основания неподвижного конуса равна длине соответствующей дуги подвижного:
, откуда
и
.
Векторное произведение угловой скорости на вектор
касающихся образующих конусов равно нулю:
, следовательно,
параллелен
.
Впрочем, геометрическому подходу следует предпочесть кинематический. Так, если вращается и нижняя шестерня (конус), то для нахождения угловой скорости проще исходить из равенства скоростей в точке контакта К:
.
Проецируя эту формулу на ось
, получим
откуда
. Дифференцируя угловую скорость (4.23), получим угловое ускорение:
и, с учетом
,
.