Существует довольно узкий класс сил и моментов, мощность которых равна полной производной по времени от некоторой функции положения
:
.
Такие воздействия называются потенциальными, а
– потенциальной энергией (знак (–) принято ставить для удобства).
Если рассматривается мощность силы, то аргументом функции
является вектор положения
точки приложения силы, т. е.
, а если мощность момента, то аргументом является тензор поворота, выраженный, например, через углы Эйлера, т. е.
.
Для потенциальных сил и моментов элементарная работа является дифференциалом функции
:
; отсюда следует равносильное определение потенциальных воздействий: для них работа не зависит от пути перехода из первого положения во второе:
;
и, как следствие, работа по замкнутому контуру равна нулю: 
Если вектор силы известен, то условия его потенциальности можно получить, приравнивая элементарную работу дифференциалу энергии:
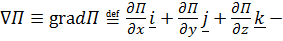
,
где
оператор Гамильтона (набла–оператор, градиент). Видно, что
, т. е.
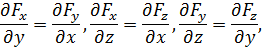
, и, поскольку смешанные производные не зависят от порядка дифференцирования, для потенциальной силы должны выполняться равенства:
|
|
|

которые на языке дифференциальных операций векторного анализа равносильны равенству нулю ротора силы:
.
Примеры потенциальных воздействий
Однородное поле тяготения (рис. 5.16,a):
,
.
,
или, если записать
, то
.
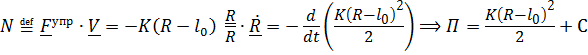
Энергия гравитации (рис. 5.16,б). Обозначим для краткости
. Действующая на первое тело со стороны второго сила:
; мощность
.
Дифференцируя равенство
, получим
, поэтому

следовательно,
.
Принимая, что при бесконечном удалении тел
, получим
.
| Рис. 5.16. Потенциальные воздействия |
| a) |
| Z |
|
|
|
|
|
|
|
|
|
| б) |
|
|
|
| в) |
|
|
|
| г) |
Потенциальная энергия пружины.
а) Линейная пружина (Рис. 5.16,в):
, где
длина недеформированной пружины;
.
б) Спиральная пружина (Рис. 5.16,г):







