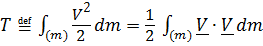
Кинетическая энергия материальной точки:
;
тела, состоящего из материальных точек:
; (5.38)
континуального тела:
. (5.39)
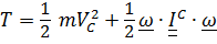
Для твердого тела
. Подставим это выражение в (5.39):

.
Второе слагаемое равно
, а подынтегральное выражение в третьем слагаемом преобразуем, чтобы вынести из интеграла постоянный вектор
:

.
Получим:
.
Таким образом,
. (5.40)
Рассмотрим частные случаи.
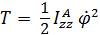
а) Тело вращается вокруг неподвижной точки
:
. (5.41)
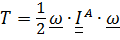
б) В качестве полюса взят центр масс
:
. (5.42)
Формула (5.42) представляет собой частный случай (для твердого тела) теоремы Кенига:
Кинетическая энергия складывается из кинетической энергии поступательного движения со скоростью центра масс и энергии относительного движения относительно системы отсчета, движущейся поступательно со скоростью центра масс (для твердого тела относительное движение – вращение вокруг центра масс).
Для плоского движения
и формулы (5.41), (5.42) примут вид:
вращение вокруг неподвижной оси –
;
общий случай плоского движения –
,
где осевые моменты инерции
постоянные величины.
|
|
|






