Приведенная модель окружающего мира, описываемая двумя фундаментальными законами механики и их следствием – теоремой об изменении кинетической энергии, явно недостаточна. Нам мало известно о внутренних воздействиях, да и повседневный опыт показывает, что причинами движения тел являются не только силы и моменты, созданные окружающими телами, но и подвод энергии того или иного немеханического вида (тепловой, электрической и др.).
Рассмотрим простую задачу: два диска с осевыми моментами инерции
и
, вращающиеся соосно с разными угловыми скоростями
и
, в момент
приводятся в зацепление и далее вращаются вместе с неизвестной угловой скоростью
(рис. 5.17).
|
|
|
| A |
|
|
|
| Рис. 5.17. Сцепление дисков |
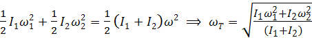
Проекция второго ФЗМ на ось вращения
имеет вид:
, т. е. проекция кинетического момента на ось
постоянна, отсюда находим:
. (5.48)
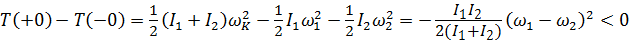
Найдем теперь угловую скорость с помощью теоремы об изменении кинетической энергии, тем более что она и выводилась из двух законов механики:
|
|
|
,
поскольку
изначально, а равенство нулю
следует из того, что скорости точек касания сцепляющихся дисков одинаковы, а силы
. Таким образом,
и
.
Разумеется, правильным результатом является формула (5.48). Найдем разность кинетических энергий после и до сцепления. Опуская несложные выкладки, получим:
.
«Потерянная» энергия превратилась либо в тепловую энергию, либо стала энергией деформации дисков и валов. Все эти (и другие) варианты определяются свойствами тел.
В любом случае необходимо ввести в механику понятия внутренней энергии и подвода энергии в тело:
(5.49)
Скорость изменения полной энергии тела равна сумме мощности внешних воздействий и скорости подвода энергии в тело.
В (5.49)
кинетическая энергия,
внутренняя энергия,
–полная энергия,
мощность внешних воздействий,
скорость подвода энергии в тело.
Если тело не обменивается энергией со своим окружением
, оно называется замкнутым.
Понятие внутренней энергии успешно используется в механике деформируемых тел, в частности, для корректного введения векторов и тензоров деформации; в нашем же курсе внутренняя энергия встречается только как внутренняя потенциальная энергия
.
Глава 6. Механика Лагранжа






