| D |
| P |
| B |
|
| α |
| A |
| B |
|
|
| P |
|
|
С помощью теоремы об изменении кинетической энергии в дифференциальной форме
составить дифференциальное уравнение, описывающее движение системы. При заданных
и начальных условиях найти это движение.
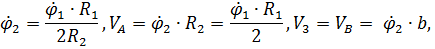
За обобщенную координату примем угол поворота первого тела
. Сообщим системе обобщенную скорость
и вычислим кинетическую энергию

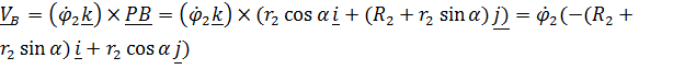
Кинематические соотношения имеют вид:

где обозначено
.
Кинетическая энергия записывается в виде

Мощность внутренних воздействий равна нулю, так как нити нерастяжимы, мощность внешних
,
или, с учетом
),
,
,
,
где коэффициент
при скорости в выражении мощности называют обобщенной силой.
Записывая теорему в дифференциальной форме, получим
, и, поскольку теорема справедлива для любых движений,
.
В случае, когда приведенный инерционный коэффициент
(как в данном случае), интегрирование уравнения не вызывает трудностей.






