Традиционно уравнения Лагранжа выводятся из уравнений Даламбера–Лагранжа для тел, состоящих из материальных точек, взаимодействие между которыми описываются только силами; хотя уравнения без какого–либо обоснования применяются для описания движения и твердых тел и твердых деформируемых тел, действие на тела-точки которых описывается силами и моментами, что влечет за собой необходимость введения наряду с возможными (виртуальными) перемещениями и возможных поворотов
Это нетрудно сделать только для плоских движений, когда
, где единичный вектор
перпендикулярен плоскости движения.
Вместе с тем следует заметить, что принцип Даламбера, опирающийся на первый фундаментальный закон изменения импульса (для точек–второй закон Ньютона) и на его обобщение для твердых тел – на второй (закон изменения кинетического момента) требует введения совершенно новых понятий: возможных, виртуальных и действительных перемещений и поворотов. Подобный подход способен создать у изучающего механику впечатление, что кроме фундаментальных законов необходимы еще какие–то добавочные «принципы».
|
|
|
Мы покажем, что уравнения Лагранжа следуют из записанной в обобщенных координатах теоремы об изменении кинетической энергии, которая на основе первого и второго законов легко доказывается для систем, состоящих из материальных точек и твердых тел, воздействия на которые описываются силами и моментами; она же, разумеется, является частным случаем третьего фундаментального закона баланса энергии.
Принимается следующее утверждение: нестационарных связей в общепринятой со времен Лагранжа форме
нет; явное присутствие времени в описании положения тела объясняется тем, что некоторые обобщенные координаты по необъясняемым причинам объявляются известными функциями времени.
Обозначим все обобщенные координаты (в том числе и зависимости которых от времени объявляются известными) через
. Линейные скорости и угловые скорости являются однородными линейными функциями обобщенных скоростей
,
и, поскольку общий вид кинетической энергии для точек и твердых тел имеет вид
, то кинетическая энергия всей системы будет однородной квадратичной формой обобщенных скоростей:
Тогда
.
По теореме Эйлера об однородных функциях
, следовательно,
.
Мощность внешних и внутренних воздействий для материальных точек и твердых тел является однородной линейной формой обобщенных скоростей
,где коэффициенты при обобщенных скоростях по определению называются обобщенными силами.
Теорема об изменении кинетической энергии
принимает вид:
). (6.1)
Вследствие того, что теорема верна для всех движений, которые определяются произвольными начальными условиями и произвольными же обобщенными силами, и из-за независимости обобщенных скоростей (для голономных систем) все коэффициенты при скоростях равны нулю:
|
|
|
. (6.2)
Это и есть система уравнений Лагранжа, которая с учетом начальных условий определяет действительное движение.
На первый взгляд может показаться, что перечисленных факторов произвольности и независимости скоростей недостаточно, чтобы каждая из скобок в сумме (
была равна нулю, поскольку внутри скобок имеются те же скорости.
Заметим, что уравнение (6.1) получено на основе первых двух фундаментальных законов, а внутри скобок стоят скалярные произведения уравнений этих законов и независимых для голономных систем базисных векторов
и
множества векторов положения материальных точек и тензоров поворота твердых тел, входящих в систему.
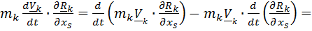
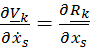
Рассмотрим тело, состоящее из материальных точек. Умножим каждое уравнение
скалярно на
и просуммируем их:
. (6.3)
Справа в (6.3) стоит обобщенная сила
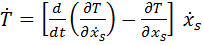
, а левая часть стандартным образом (см. например,
) преобразуется с использованием тождеств Лагранжа, которые в нашем подходе из-за отсутствия времени в описании положения
совершенно очевидны ввиду независимости смешанных производных от порядка дифференцирования:
, и
.
Имеем: 
, (6.4)
что и требовалось доказать.
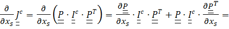
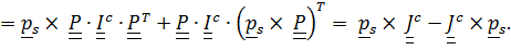
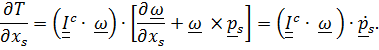
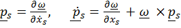
С помощью тождеств типа Лагранжа для вращательных движений
, (6.5)
которые представлены далее, докажем справедливость аналогичного (6.4) преобразования для уравнения второго закона
твердого тела:
,
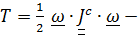
где
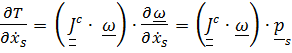
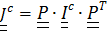
вращательная составляющая кинетической энергии.
С учетом симметричности тензора инерции и первого тождества
.
Вычислим
Выражая
, где
постоянный тензор инерции, получим:


Теперь
,
и с учетом второго тождества получим:







