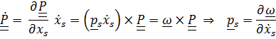
Первое тождество следует из формулы Пуассона:

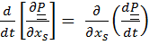
Второе получим, приравнивая смешанные производные от тензора поворота по координате
и по времени
:
⇒
⇒

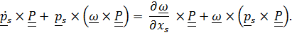
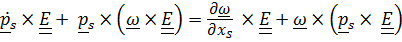
Умножим (для удобства) это равенство справа на
(
):
.
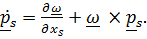
С помощью тождеств
и 
получим:
.
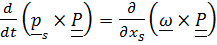
Последние два слагаемых – кососимметрический тензор, представимый в виде (
откуда и следует второе тождество (6.5):







