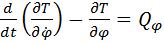
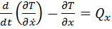
Следует подчеркнуть, что изложенный подход позволяет вычислять обобщенные силы (воздействия), которые обеспечивают постулируемую ранее зависимость некоторых координат от времени. Рассмотрим примеры.
Математический маятник с изменяющейся длиной (рис.6.2,а).
Материальная точка массы
подвешена на нити, длина которой изменяется по закону
. Система имеет две обобщенные координаты:
и
. Кинетическая энергия
, мощность

Уравнения Лагранжа
;
.
Из второго уравнения можно найти
, из первого уравнения определяется натяжение нити
.
| Рис. 6.2. Постулируемая зависимость координат от времени |
| а) |
| S |
|
|
|
| б) |
|
|
|
|
|
|
|
|
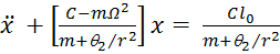
Движение диска по вращающемуся стержню (рис. 6.2,б). Диск массы
и радиуса
катится по вращающемуся стержню. Осевой момент инерции стержня
, жесткость пружины
.
Система имеет две степени свободы
. Запишем уравнения Лагранжа:
,
.
Сообщим находящейся в актуальном (т. е. произвольном) положении системе скорости
и напишем кинетическую энергию:
|
|
|
,
где
– скорость центра,
угловая скорость,
центральный тензор инерции диска.
Приняв стержень за подвижную систему отсчета, получим


.
Обобщенные силы найдем «по определению» из выражения для мощности
, причем ввиду независимости обобщенных скоростей можно для упрощения вычислений считать нулями все скорости кроме одной.
1. Примем
:
.
2. Примем
: 
где
длина недеформированной пружины.
Уравнения Лагранжа будут иметь вид:
;
.
Рассмотрим частный случай движения, при котором стержень вращается с постоянной угловой скоростью
(именно этот случай чаще всего встречается в учебных задачах).
Второе уравнение запишем в виде
.
Для достаточно жесткой пружины
это уравнение описывает гармонические колебания:
.
Первое уравнение дает нам значение момента, который необходим для вращения с постоянной угловой скоростью: 






