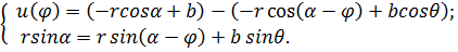
В качестве обобщенной координаты выбран угол отклонения от положения равновесия
(рис. 7.6). Кинетическая энергия, как и для любой системы с одной степенью свободы, имеет вид:
, где инерционный коэффициент
зависит в общем случае от координаты. Для получения уравнений малых колебаний, т. е. линейных уравнений, необходимо в разложении
оставить только первый член
, что равносильно вычислению кинетической энергии в момент, когда система проходит положение равновесия (на рис. 7.6 пунктирные линии).
Кинетическая энергия кривошипа
,
шатуна
, диска
. Проецируя основную формулу кинематики твердого тела
на оси
, найдем угловую скорость шатуна и скорость
:
,
и
.
| Рис. 7.6. Кривошипный механизм |
|
|
|
|
|
|
|
|
|
|
|
|
| E |
Кинетическая энергия
где
.
Потенциальная энергия 
,
где
– статические деформации линейной и спиральной пружин в положении равновесия.
Связь между
и
выражается формулами:
(1)
Для получения уравнений малых колебаний в выражении потенциальной энергии необходимо сохранить члены порядка
или, что проще, найти значение
Из (1) получим:
|
|
|
;

Дифференцируя потенциальную энергию, получим:

(2)


(3)
Формула (2), выражающая равенство нулю обобщенной силы
в положении равновесия, связывает статические деформации. Слагаемые в фигурной скобке в (3) соответствуют «кинематическому» подходу при вычислении перемещений для потенциальной энергии, при котором связь между перемещениями получают «интегрированием» связей между скоростями в момент прохождения системой положения равновесия, т. е. просто убирают знаки производных по времени. В данном примере это означает, что из выражения
следовало бы
, что при подстановке в потенциальную энергию привело бы к ошибке в (3). Из (3) следует, что в этой задаче «кинематический» подход является верным только в следующих случаях:
а)
; б) статическая деформация пружины
; в)
.
Уравнение малых колебаний имеет вид:
, где величину
называют обобщенной жесткостью.






