Дифференциальное уравнение имеет вид (7.1):
.
а ) Произвольное воздействие (интеграл Дюамеля). Возьмем для определенности малое сопротивление (
). Полагая в решении (7.7г)
, получим движение с единичной начальной скоростью (реакцию системы на единичный импульс):
.
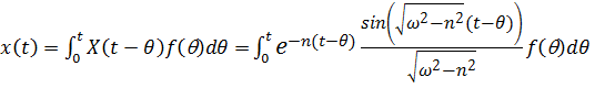
Движение при воздействии
описывается интегралом Дюамеля:
.
б) Гармоническое воздействие: дифференциальное уравнение имеет вид:
. (7.8)
Частное решение, описывающее установившиеся колебания с частотой возмущающей силы, будем искать в виде
или, что одно и то же, в виде
, где
амплитуда колебаний;
фаза.
Подставляя это выражение в (7.8) и преобразовывая правую часть
, получим:

.
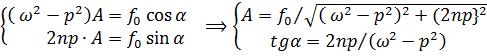
Приравнивая коэффициенты при
, получим:
. (7.9)
Зависимость амплитуды и фазы от частоты представлены на рис. 7.5. Максимальная амплитуда
достигается при частоте
, при которой подкоренное выражение в знаменателе формулы (7.9) минимально.
| Рис. 7.5. Зависимость амплитуды и фазы от частоты |
|
|
| A |
|
|
|
|
|
|
|
|
|
|
|






