Дифференциальное уравнение (7.1)имеет вид:
(7.7)
По методу Эйлера решение будем искать в виде
Подставляя его в (7.7), получим характеристическое уравнение:
,
откуда определяются собственные числа 
Общее решение имеет вид:
, (7.7а)
| а) |
| Рис. 7.4. Затухающие колебания |
|
| x |
| t |
|
| б) |
| T |
|
где
и
определяются из начальных условий. Рассмотрим три возможных случая.
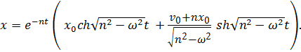
а) Большое сопротивление:
В этом случае собственные числа
и
вещественные, и решение (7.7а) тоже вещественное; его для удобства часто записывают в виде:
, (7.7б)
где
гиперболические функции, удобные для определения постоянных из начальных условий, поскольку
.
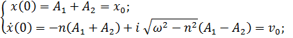
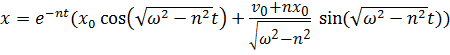
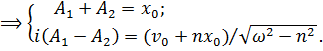
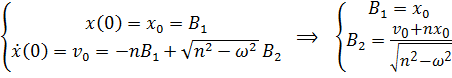
Подставим начальные условия:
,и
(7.7в)
Эскизы графиков движения в зависимости от начальных условий могут иметь вид, представленный на (рис. 7.4,а). Эти движения принято называть апериодическими (непериодическими) колебаниями, хотя они и не имеют колебательного характера.
б) Предельно–апериодическое движение:
В этом случае собственные числа
кратные и, как известно из математики, частные решения имеют вид
и
, так что общее решение
. Впрочем, это решение, как и в случае резонанса (см. раздел 7.1.2), получается предельным переходом при
из общего решения (7.7в). Замечая, что для малых
, получим:
|
|
|

Характер движения вполне описывается эскизами (см.рис. 7.4,а).
в) Малое сопротивление:
(затухающие периодические колебания). Собственные числа
комплексные и формально записанное решение
тоже комплексное. С помощью формулы Эйлера
оно принимает вид:
.
Разумеется, если найти постоянные из вещественных начальных условий, мнимая часть решения «исчезнет» (станет равной нулю):

.
Таким образом,
. (7.7г)
Обычно это вещественное решение сразу записывают в виде суммы вещественной и мнимой частей, умноженных на константы, определяемые из начальных условий:
.
Действительно, если комплексная функция является решением линейного уравнения с вещественными коэффициентами, то решениями являются ее вещественная и мнимая части.
Решение может быть записано в виде одной гармоники (рис. 7.4,б):
.
Частота колебаний
, «период»
.






