Независимость структуры уравнений Лагранжа от выбора обобщенных координат наводит на мысль о возможности введения таких координат, называемых главными, чтобы каждое из уравнений Лагранжа содержало бы только одну координату, или, что равносильно, чтобы матрицы жесткости и инерции были бы диагональными.
Можно было бы сослаться на теорему из линейной алгебры, которая утверждает, что две симметричные матрицы, одна из которых положительна (в данном случае это матрица инерции
), можно одним неособенным преобразованием привести к диагональному виду, но уже рассмотренные собственные формы
позволяют без труда это сделать.
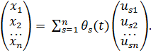
Введем новые координаты
по формулам
или
(7.19)
С учетом ортогональности форм
получим:
.
Совершенно аналогично
, где
.
Таким образом, система уравнений Лагранжа в главных координатах распадается на
независимых уравнений вида
, (7.20)
решения которых являются главными колебаниями
.
Ясно, что отыскание главных координат по сути означает решение исходной задачи по вычислению собственных частот и форм, поэтому главные координаты имеют главным образом теоретическое значение, позволяющее рассмотреть некоторые особые случаи.
|
|
|
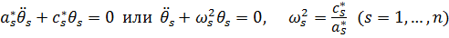
Кратные частоты. В общем случае система
при кратных собственных числах (частотах) имеет решения, содержащие время
вне синуса (так называемые вековые члены). Так, для корня второй кратности соответствующее решение должно иметь вид:
, т. е. амплитуда колебаний должна неограниченно возрастать, что противоречит факту сохранения полной энергии консервативной системы.
Дело в том, что из-за симметричности матриц
вековых членов не возникает, что и видно из уравнений движения в главных координатах (7.20). Практически же случай равных частот весьма распространен, а иногда и желателен. Так, наиболее рациональной является такая конструкция автомобиля, при которой угловые и вертикальные колебания кузова независимы и, более того, их частоты равны. Стержни с поперечными сечениями, имеющими круговую симметрию, имеют одинаковую изгибную жесткость в любом направлении и, соответственно, одинаковые частоты (рис. 7.8).
| Рис. 7.8. Кратные частоты |
| Рис. 7.9. Нулевая частота |
|
|
Нулевая частота. Если частота
то уравнение для этой координаты имеет вид:
, и решение
Физически это решение означает, что система может совершать движение без деформации – жесткое движение.
Рассмотрим, например, вал с двумя дисками [8] (рис. 7.9). Кинетическая энергия
, потенциальная
, где
– жесткость вала на кручение. Уравнения Лагранжа имеют вид:

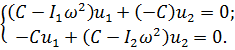
Отыскивая решение в виде
, получим систему:

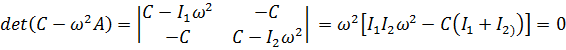
Частотное уравнение:
,
откуда
.
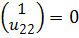
Форму колебаний для нулевой частоты найдем формальным образом, подставляя
в любое из уравнений системы, полагая амплитуду
равной единице:
. Эта форма «колебаний» описывает вращение дисков без деформации вала.
|
|
|
Форма колебаний для второй частоты:
.
Заметим, что формы колебаний ортогональны:
.
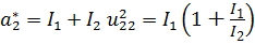
Общее решение задачи удобно построить, используя главные координаты:
.
Подставляя их в выражения кинетической и потенциальной энергии, получим:
,
,
, где
.
Уравнения Лагранжа
.
Решение
.