Система уравнений движения при наличии возмущающих воздействий имеет вид:
, (7.21)
где
вектор-столбец обобщенных сил.
Разложение по формам свободных колебаний (метод главных координат). Если обобщенные силы являются произвольными функциями времени, то аналитическое решение систем (7.21) весьма затруднительно. В этом случае можно применить метод разложения по формам свободных колебаний. Ищем решение в виде суммы
, (7.22)
где
собственные формы, удовлетворяющие системе
.
Подставим (7.22) в систему (7.21):
. Умножая последовательно эту систему слева на
с учетом ортогональности форм

получим
уравнений:
, или
:
.
Решения этих неоднородных уравнений, как известно, складываются из решения однородного уравнения
и решения
неоднородного, которое можно получить с помощью интеграла Дюамеля:
.
Гармоническая обобщенная сила. Если вектор-столбец обобщенных сил имеет вид
, то частное решение системы (7.21) можно найти в виде
:
, откуда получаем систему линейных уравнений относительно амплитудного вектора
: 
|
|
|
Решение этой системы можно получить, например, с помощью формулы Крамера:
, где
определитель системы; а
определитель, в котором
- й столбец заменен столбцом
.
Рассмотрим, например, динамический гаситель колебаний (рис. 7.10).
| Рис. 7.10. Динамический гаситель |
|
|
|
| K |
| C |
|
|
Движение тела массы
, закрепленного на упругой опоре жесткости
, под действием силы
, описывается уравнением
,
частное решение которого (чисто вынужденные колебания) имеет вид:

где
квадрат собственной частоты.
Сила
моделирует, например, причину колебаний корпуса двигателя ввиду неуравновешенности его движущихся частей.
Зависимость амплитуды вынужденных колебаний от частоты вынуждающей силы
(амплитудно-частотная характеристика) показана на рис. 7.11,а.
| Рис. 7.11. Зависимости амплитуды от частоты |
| p |
| а) |
|
|
|
| б) |
|
|
|
|
|
|
Прикрепим к телу груз
на пружине жесткостью
. Подставляя кинетическую и потенциальную энергии системы
, 
в уравнения Лагранжа

получим

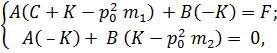
Отыскивая частное решение в виде
, получим систему:

откуда
,
где определитель системы
.
Из выражения для
видно: если массу
и жесткость пружины
«дополнительного» тела, называемого динамическим гасителем, подобрать так, чтобы
, то амплитуда колебаний «основного» тела, на которое действует сила, будет равна нулю:
; это невозможное для статических задач свойство динамических задач называется антирезонансом (рис. 7.11,б).
Заметим, что динамический гаситель колебаний, позволяющий уменьшить вибрацию вблизи номинальной рабочей частоты
, превращает защищаемый механизм в систему с двумя степенями свободы и соответственно с двумя собственными резонансными частотами
и
, которые определяются из
|
|
|
уравнения
, где
(гаситель настроен на частоту
Это уравнение можно записать в виде
, где
.
Корни этого уравнения лежат по разные стороны от рабочей частоты
и собственной резонансной частоты
(см. рис. 7.11,б), поэтому при выводе механизма на рабочую частоту возникает проблема перехода через резонансную частоту
; кроме того, крупным недостатком является гашение колебаний вблизи фиксированной рабочей частоты.






