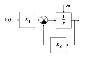
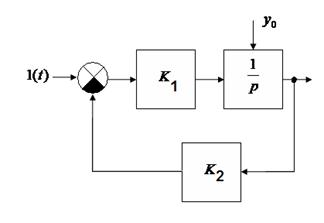
1. Собрать в программе VisSim схему, представленную на рисунках 2.4.
Используя правила преобразования структурных схем, записать передаточную функцию для данных структур, характеристическое уравнение,
,
.

а б
Рисунок 2.4 – Структуры апериодического звена первого порядка
2. Изменяя коэффициенты в схемах, исследовать их влияние на переходной процесс.
3. Исследовать влияние на график начальных условий. При выборе начальных условий учитывать рекомендации п.3 для интегрирующего звена.
4. Реализовать передаточную функцию апериодического звена
с помощью блока transferFunction. Значения К и Т, соответствующие номеру варианта, взять из таблицы.
Таблица 2.1 – Значения К и Т
| № варианта | К | Т |
| 0,1 | ||
| 1,5 | ||
| 0,5 | ||
| 0,2 | ||
| 2,5 | 0,8 | |
| 0,25 |
Рассчитать, какие должны быть значения коэффициентов
и
в схемах на рисунке 2.4, чтобы получить звено
с заданными по вариантам К и Т. Проверить результаты расчетов построением графиков для схем рисунка 2.4 (а,б) и для схемы с использованием блока transferFunction.
|
|
|
Содержание отчёта
1. Схемы исследования и результаты исследования, выводы о влиянии значений коэффициентов, начальных условий на переходной процесс.
2. Передаточные функции звеньев, выражения для
и
.
3. Характеристические уравнения, корни уравнений,
,
,
,
.
Контрольные вопросы
1. Что такое типовое звено?
2. Что такое передаточная функция, переходная характеристика, импульсная переходная характеристика?
3. Как записать уравнение динамики через передаточную функцию звена?
4. Что такое устойчивость, как определить по виду переходного процесса, устойчиво ли звено?
5. Передаточные функции идеально-интегрирующего и апериодического звеньев?






