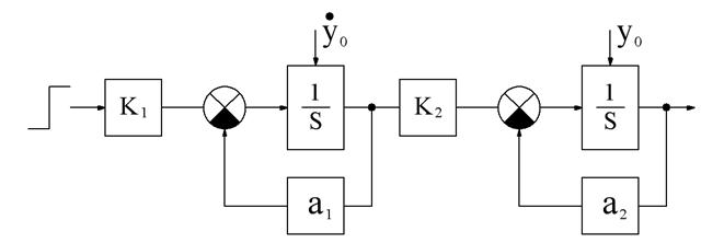
Для реализации апериодического звена второго порядка необходимо соединить последовательно два апериодических звена первого порядка (рисунок 4.5).
Используя правила преобразования структурных схем, записать выражения для передаточной функции
по данной структуре (в виде
). Записать выражения для постоянных времени
и
и коэффициента усиления
.

Рисунок 4.5 – Структура апериодического звена второго порядка
1. Собрать в программе VisSim схему, представленную на рисунке 4.5.
2. Исследовать влияние коэффициентов на переходный процесс. Для одного из графиков определить время достижения максимума
.
3. Исследовать влияние на переходной процесс начальных условий по скорости изменения выходной величины
(первый интегратор) и выходной величине
(второй интегратор). Получить графики при различных начальных условиях и постоянных коэффициентах.
4. Изменить знак обратной связи для первого и второго звена. Объяснить изменение характеристик.






