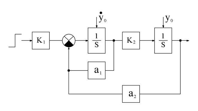
Колебательное звено получается последовательным соединением апериодического звена и интегратора и охватыванием их обратной связью (рисунок 4.6).
Используя правила преобразования структурных схем, записать выражения для передаточной функции
по данной структуре (в виде
). Записать выражения для постоянной времени
, коэффициента усиления
и степени затухания
. Определить, при каких соотношениях коэффициентов в системе переходной процесс будет иметь колебательный характер.

Рисунок 4.6 – Структура звена второго порядка
1. Собрать в программе VisSim схему, представленную на рисунке 4.6.
2. Исследовать влияние коэффициентов на переходный процесс. Задавая различные коэффициенты, получить апериодический и колебательный переходной процесс.
Для колебательного переходного процесса:
3. Изменяя значения коэффициентов, получить колебательные процессы с различной амплитудой, частотой и длительностью переходного процесса. По одному из графиков определить время достижения первого максимума
, период колебаний
, коэффициент затухания
.
4. Исследовать влияние на переходной процесс начальных условий по скорости изменения выходной величины
(первый интегратор) и выходной величине
(второй интегратор). Получить графики при различных начальных условиях и постоянных коэффициентах.
5. Изменить знак обратной связи на «плюс». Объяснить изменение характеристик.






