Поиск и разработка решения. Методы поиска и разработки решений зависят от типа проблемной ситуации. Проблемные ситуации бывают: стандартные, хорошо структурированные, слабо структурированные, неструктурированные.
Стандартные - это такие ситуации, которые хорошо знакомы, и они решаются по заранее выработанной процедуре, например, согласно инструкции, руководству, приказу.
Хорошо структурированные отличаются ясностью и однозначностью целей, например, расчет количества оборудования, бухгалтерский отчет и др. Такой вид расчетов может производиться с применением заранее выработанной методики.
Слабо структурированные связаны с решением многофакторных моделей, например, выработка стратегии технического перевооружения предприятия, создание новых производственных комплексов, технологическая подготовка производства. Разрешение подобных проблем зачастую требует использования системного подхода.
Неструктурированные характеризуются отсутствием полноты информации, например, построение плана социально-экономического развития предприятия, прогнозирование рынка и др. Методом решения подобных задач могут быть экспертные оценки.
Принятие решения осуществляется:
• единолично - ответственным руководителем;
• группой ответственных работников;
• согласованием. Некоторые решения требуют согласования с различными органами или должностными лицами, которые могут находиться как внутри организации, так и за ее пределами.
Принятие решения основывается на его эффективности. К показателям эффективности разработки управленческих решений относятся:
• срок реализации решения;
• степень обоснованности решений (использование научных методов разработки, современных подходов);
• многовариантность расчетов;
• наличие прогрессивного отечественного и зарубежного опыта;
• расходы, связанные с разработкой проекта решения;
• стоимость реализации решения;
• учет степени риска в реализации решения и др.
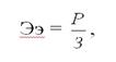
В экономической теории различают два вида эффективности: экономическую и социальную. Экономическая эффективность характеризуется отношением полученного результата к затратам в соответствии с формулой:

где Ээ -экономическая эффективность;
Р - полученный результат;
3 - затраты.
Показателями экономической эффективности решений могут быть: рентабельность, оборачиваемость, окупаемость капиталовложений, фондоемкость, фондоотдача, производительность труда, соотношение роста заработной платы и производительности труда и т.д.
Примером показателей социальной эффективности могут быть: степень выполнения заказов потребителей; своевременность выполнения заказа; полнота выполнения заказа; оказание дополнительных услуг; послепродажный сервис; степень технической оснащенности управленческого труда, текучесть работников аппарата управления, квалификационный уровень кадров и т.п.
Реализация решения. Реальная ценность решения становится очевидной только после его осуществления, поэтому разрабатывается план реализации решения с определением сроков выполнения, ответственных, выделением ресурсов, обеспечивающих успешное достижение поставленных целей.
Контроль реализации решения и оценка результатов. Система отслеживания и контроля полученных результатов необходима для обеспечения согласования фактических результатов с теми, которые были запланированы. Поступление данных о том, что происходило до и после реализации решения (обратная связь), позволяет руководителю скорректировать реализацию решения и учитывать недочеты при разработке будущих решений.






