Задачи с параметрами
Неравенства.
задачи типа заданий С 5
Дихтярь М.Б.
Общие сведения
1. При решении неравенств с модулем пользуемся тем, что


2. Изобразить на координатной плоскости множество решений неравенства 
Решение. Перепишем исходное неравенство в виде
(1)
На координатной плоскости
построим график уравнения
(2)
Для построения множества точек, удовлетворяющих уравнению (2), проделаем следующее.
1. Приравняем нулю выражения, стоящие под знаком модуля:
и
Построим прямые
и
(прямые параллельны). Эти прямые разобьют плоскость
на 3 области.
2. Рассмотрим уравнение (2) в каждой области. Для этого раскроем модули в каждой области.
Замечание. При раскрытии модулей надо учитывать знак выражения, стоящего под модулем в соответствующей области. Так как знак в каждой области постоянный, то знак выражения в области совпадает со знаком выражения в любой точке этой области.
1) В области I уравнение (2) равносильно системе

Для построение в области I части прямой
, найдём точку пересечения прямых
(граница области) и
Имеем
|
|
|

В области I строим часть прямой
которая в этой области проходит через точку А (–1; 1).
2) В области II уравнение (2) равносильно системе

Найдём точку пересечения прямых
(граница области) и
. Имеем

Точкой пересечения прямых
и
является точка В (3; 3).
Легко проверить, что точкой пересечения прямых
(граница области) и
является точка А (–1; 1).
В области II строим часть прямой
, которая в этой области проходит через точки А (–1; 1) и В (3; 3).
3) В области III уравнение (2) равносильно системе

В области III строим часть прямой
, которая в этой области проходит через точки В (3; 3) и С (6; 0).
3. Ломаная линия (рис. 1) разбивает плоскость х0у на две части, в каждой из которых функция
(левая часть неравенства (1)) сохраняет знак.
Замечание. Прямая
разбивает координатную плоскость на две области, в каждой из которых функция
сохраняет знак.
Определим знак функции
в точке (0; 0). Так как
то
в области расположенной ниже ломаной,
в области расположенной выше ломаной и
в точках, принадлежащих ломаной.
Решением исходного неравенства является множество точек, расположенных выше ломаной, включая ломаную. Множество решений исходного неравенства изображено на рисунке 1 штриховкой (граница области принадлежит множеству решений исходного неравенства).
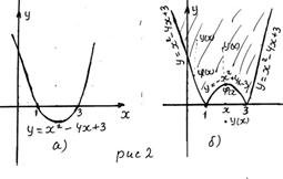
3. Изобразить на координатной плоскости множество решений неравенства
.
Решения. На координатной плоскости
построим график функции
.
Имеем 
Из последнего уравнения следует, что графиком функции
является парабола с вершиной в точке (2; –1), ветви которой направлены вверх.
Точки пересечения параболы
с осью абсцисс находим из уравнения
|
|
|

Строим график параболы
(рис. 2 а)). Строим график функции
(рис. 2 б)).
Любая точка, принадлежащая графику функции
, имеет координаты
, а точка, не принадлежащая этому графику, имеет координаты
. Решением исходного неравенства является множество точек, удовлетворяющих неравенству
. Множество решений изображено на рисунке 2б) штриховкой (граница области не принадлежит множеству решений неравенства).






