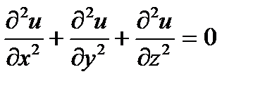
4.1.Доказать, что если функция u(x,y,z) удовлетворяет уравнению Лапласа

то

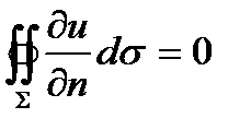
где
- производная по направлению внешней нормали к кусочно гладкой замкнутой поверхности Σ.
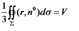
4.2.Доказать, что если функция u(x,y,z) является многочленом второй степени и Σ – кусочно-гладкая замкнутая поверхность, то интеграл

пропорционален объёму, ограниченному поверхностью Σ.
4.3.При какой функций
(r) будет div
(r)r =2
(r)
4.4. Найти div (r4 r)
4.5. Найти дивергенцию векторного поля 
4.5. Найти div (r[w, r]) где w –постоянный вектор
4.6. При какой функции
(z) дивергенция поля
= xzi+yj+
(z)k будет равна z
4.7. Найти поток радиуса вектора r через поверхность сферы
4.8. Электростатическое поле точечного заряда q равно
. Вычислить div E
4.9.Показать, что
где V –объем, ограниченный замкнутой поверхностью S
4.10.Доказать, что если S -замкнутая кусочно гладкая поверхность и
–ненулевой постоянный вектор, то
где
–вектор, нормальный к поверхности S
4.11.Доказать формулу
где j=j(x,y,z), а S -поверхность, ограничивающая объем V. Установить условия применимости формулы.
|
|
|
4.12.Найти дивергенцию векторного поля
=xyi+xyi+zk в точке Р(1,2,-1)






