10 Градиент направлен по нормали к поверхности уровня (или к линии уровня, если поле плоское).
20 Градиент направлен в сторону возрастания функции поля.
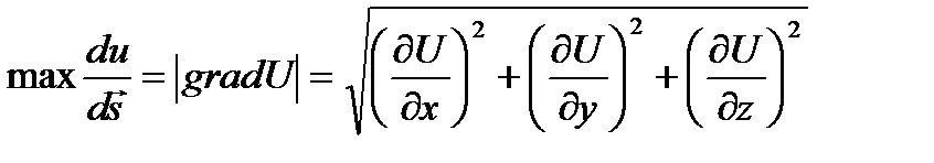
30 Модуль градиента равен наибольшей производной по направлению в данной точке поля:

Эти свойства дают инвариантную характеристику градиента. Они говорят о том, что вектор gradU указывает направление и величину наибольшего изменения скалярного поля в данной точке.
Замечание 2.1. Если функция U(x,y) есть функция двух переменных, то вектор
(2.3)
лежит в плоскости oxy.
Пусть U=U(x,y,z) и V=V(x,y,z) дифференцируемых в точке М0 (x,y,z) функции. Тогда имеет место следующие равенства:
а) grad(
)=
; б) grad(UV)=VgradU+UgradV;
в) grad(U
V)=gradU
gradV; г) г) grad
=
, V
;
д) gradU(
=
gradU, где
, U=U(
) имеет производную по
.
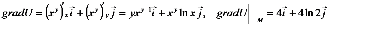
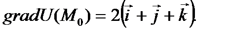
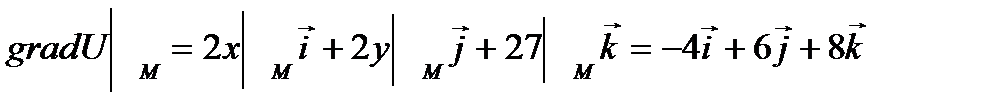
Пример 2.1. Дана функция U=x2+y2+z2. Определить градиент функции в точке М(-2;3;4).
Решение. Согласно формуле (2.2) имеем
,
.
Поверхностями уровня данного скалярного поля являются семейство сфер x2+y2+z2
, вектор gradU=(-4;6;8) есть нормальный вектор плоскостей.
Пример 2.2. Найти градиент скалярного поля U=x-2y+3z.
|
|
|
Решение. Согласно формуле (2.2) имеем


Поверхностями уровня данного скалярного поля являются плоскости
x-2y+3z=С; вектор gradU=(1;-2;3) есть нормальный вектор плоскостей этого семейства.
Пример 2.3. Найти наибольшую крутизну подъема поверхности U=xy в точке М(2;2;4).
Решение. Имеем:

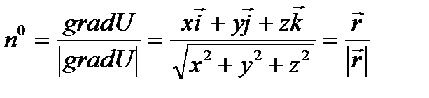
Пример 2.4. Найти единичный вектор нормали к поверхности уровня скалярного поля U=x2+y2+z2.
Решение. Поверхности уровня данного скалярного Поля-сфера x2+y2+z2=С (С>0).
Градиент направлен по нормали к поверхности уровня, так что
. Определяет вектор нормали к поверхности уровня в точке М(x,y,z). Для единичного вектора нормали получаем выражение
, где 
.
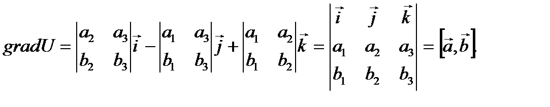
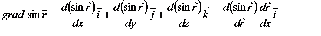
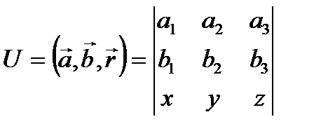
Пример 2.5. Найти градиент поля U=
, где
и
постоянные векторы, r –радиус вектор точки.
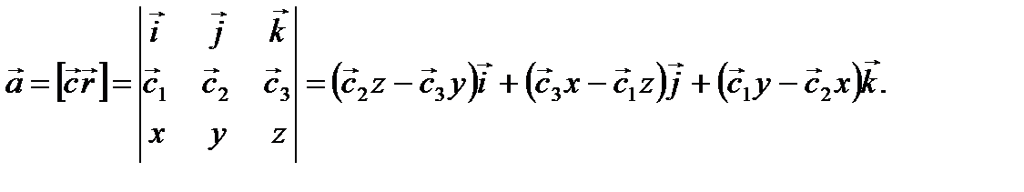
Решение. Пусть 
Тогда:
. По правилу дифференцирования определителя получаем

Следовательно,

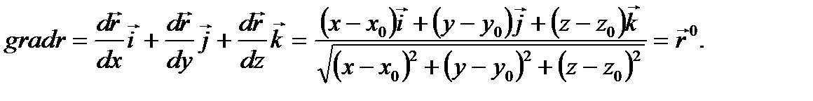
Пример 2.6. Найти градиент расстояния
, где P(x,y,z) - изучаемая точка поля, P0(x0,y0,z0) - некоторая фиксированная точка.
Решение. Имеем
- единичный вектор направления
.
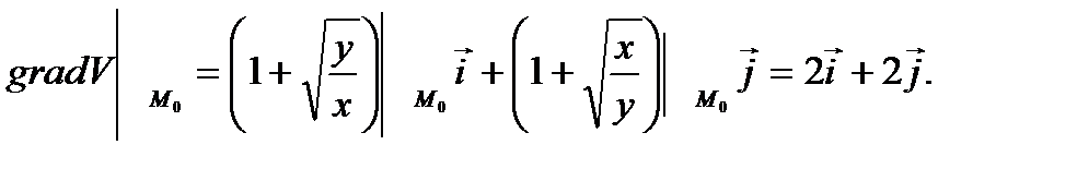
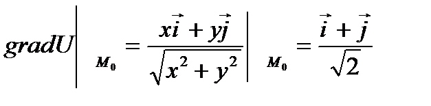
Пример 2.7. Найти угол
между градиентами функций
в точке М0(1,1).
Решение. Находим градиенты данных функций в точке М0(1,1), имеем
;
Угол
между gradU и gradV в точке М0 определяется из равенства
Отсюда
=0.
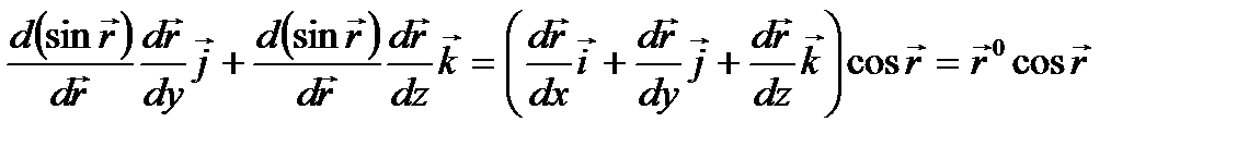
Пример 2.8. Найти производную по направлению, радиус- вектор
равен
(2.4)
Решение. Находим градиент этой функции:
+
(2.5)
Подставляя (2.5) в (2.4), получим

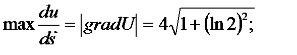
Пример 2.9. Найти в точке М0(1;1;1) направление наибольшего изменения скалярного поля U=xy+yz+xz и величину этого наибольшего изменения в этой точке.
Решение. Направление наибольшего изменения поля указывается вектором grad U(M). Находим его: 
И, значит,
. Это вектор определяет направление наибольшего возрастания данного поля в точке М0(1;1;1). Величина наибольшего изменения поля в этой точке равна
|
|
|
.

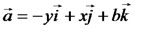
Пример 3.1. Найти векторные линии векторного поля
где
-постоянный вектор.
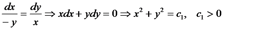
Решение. Имеем
так что
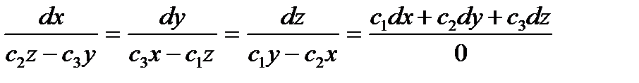
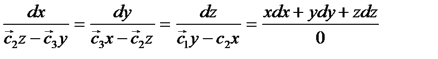
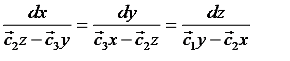
Дифференциальные уравнения векторных линий
(3.3)
Умножим числитель и знаменатель первой дроби на х, второй-на у, третий-на z и сложим почленно. Используя свойство пропорций, получим
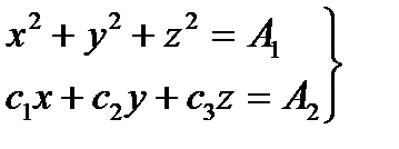
, отсюда xdx+ydy+zdz=0, а значит
x2+y2+z2=A1, A1-const>0. Умножив теперь числитель и знаменатель первой дроби (3.3) на с1, второй –на с2, третий на с3 и сложив почленно, получим
, откуда с1dx+c2dy+c3dz=0
И, следовательно, с1x+c2y+c3z=A2. A2-const.
Искомые уравнения векторных линий

Эти уравнения показывают, что векторные линии получаются в результате пересечения сфер, имеющих общий центр в начале координат, с плоскостями, перпендикулярными вектору
. Отсюда следует, что векторные линии являются окружностями, центры которых находятся на прямой, проходящей через начало координат в направлении вектора с. Плоскости окружностей перпендикулярны указанной прямой.
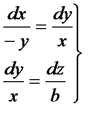
Пример 3.2. Найти векторную линию поля
проходящую через точку (1,0,0).
Решение. Дифференциальные уравнения векторных линий
отсюда имеем
. Решая первое уравнение
. Или если ввести параметр t, то будем иметь
В этом случае уравнение
принимает вид
или dz=bdt, откуда z=bt+c2.