Пусть линия L задана параметрическими уравнениями

при этом в начальной точке А линии L параметр t принимает значение t=t0 , а в конечной точке В линии L – значение t=t1 (направление на линии L соответствует возрастанию параметра t от t0 до t1); функции
имеют непрерывные производные на отрезке [t0,t1]. Тогда

Если линия L задана системой уравнений
то

Аналогичные формулы можно написать и для случаев, когда линия задаётся одной из следующих систем уравнений:

или

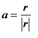
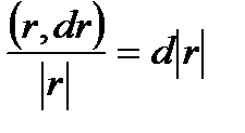
Пример 5.1. Найти линейный интеграл от вектора
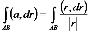
, где r- радиус – вектор, вдоль отрезка прямой от точки A(rA) до точки B(rB).
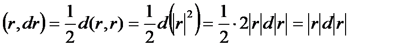
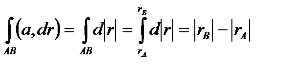
Решение. Искомым линейным интегралом будет
(5.2)
из равенства

находим

отсюда
(5.3)
подставляя (5.3) в (5.1) будем иметь

Следует обратить внимание на то, что

Пример 5.2. Найти линейный интеграл от вектора

вдоль дуги L винтовой линии

от точки А пересечения линии с плоскостью z=0 до точки В пересечения с плоскостью z=1 (р. 5.2).
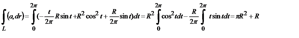
Решение. Линейный интеграл в данном примере имеет вид

Винтовая линия расположена на круговом цилиндре x2+y2=R2. В точке А имеем t0=0, в точке В имеем t1=2π. Так как

| z=j |
Рис.5.2
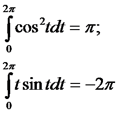
то интеграл будет равен

так как

Пример 5.3. Найти линейный интеграл от вектора (см. пример 5.2)

вдоль примой АВ (см. рис. 5.2) в направлении от точки А к точке В.
Решение. Так как прямая АВ (образующая цилиндра x2+y2=R2) расположена на плоскости XOZ и проходит через точку А(R,0,0), то y=0, x=R, dx=0 и для радиуса – вектора r точек прямой АВ будем иметь r=Ri+zk, dr=dz*k. Поэтому скалярное произведение
(a,dr)=zdx+xdy+ydz=0
Следовательно, искомый линейный интеграл

на прямой АВ будет равен нулю.
Из примеров 5.2 и 5.3 следует, что в общем случае линейный интеграл в векторном поле зависит не только от начальной и конечной точек пути интегрирования, но и от формы этого пути.
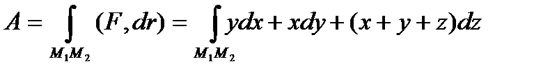
Пример 5.4. Вычислить работу силового поля

вдоль отрезка АВ прямой, проходящей через точки М1(2,3,4) и М2(3,4,5).
Решение. Работа данного силового поля будет равна линейному интегралу вдоль отрезка М1М2

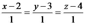
Находим канонические уравнения прямой М1М2. Имеем

Отсюда

Здесь х изменяется в пределах от 2 до 3 (так как абсцисса точки М1 равна 2, а абсцисса точки М2 равна 3). Искомая работа будет равна
