Пусть даны непрерывное векторное поле а=а(М) и кусочно гладкая кривая L, на которой выбрано положительное направление (ориентированная кривая).
Определение 5.2. Линейным интегралом от вектора а=а(М) вдоль ориентированной кривой L называется криволинейный интеграл первого рода (интеграл по длине дуги кривой) от скалярного произведения 

где
- орт вектора, касательного к линии L, ориентация которого совпадает с ориентацией L;ds – дифференциал длины дуги s кривой L.
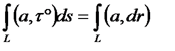
Если r=r(M) есть радиус – вектор произвольной точки М линии L, то линейный интеграл в поле а(М) можно записать в виде
(5.1)
Если в векторном поле введена прямоугольная система координат OXYZ, то r=xi+yj+zk

и линейный интеграл (5.1) выразится через криволинейный интеграл второго рода

В случае, когда а=а(М) является силовым полем, линейный интеграл (5.1) даёт величину работы этого поля вдоль линии L.