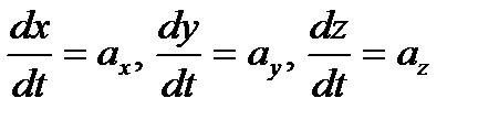
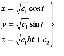
(3.4)
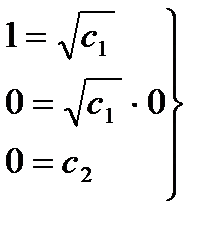
Точке (1,0,0) соответствует значение параметра t, равное нулю. Полагая t=0 в системе (3.4), получим

Откуда находим с1=1, с2=0,и значит параметрические уравнения векторной линии, проходящей через точку (1,0,0), будут

-это винтовая линия.
Векторное поле называется плоским, если все векторы
расположены в параллельных плоскостях и поле одно и тоже в каждой из этих плоскостей.
Если в какой-либо из этих плоскостей ввести декартову систему координат ХОУ, то векторы поля не будут содержать компоненты по оси OZ и координаты вектора не будут зависеть от z, то есть
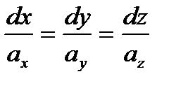
. Дифференциальные уравнения векторных линий плоского поля будут иметь вид:
или

Отсюда видно, что векторные линии плоского поля являются плоскими, лежащими в плоскостях, параллельных плоскости ХОУ.
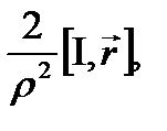
Пример 3.3. Найти векторные линии магнитного поля бесконечного проводника тока.
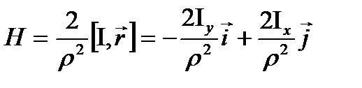
Решение. Будем считать, что проводник направлен по оси OZ и в этом же направлении течет ток I. Вектор напряженности Н магнитного поля, создаваемого током, равен
Н=
(3.5)
где I=I∙K есть вектор тока, r-радиус-вектор точки M(x,y,z),
-расстояние от оси провода до точки М. Раскрывая векторное произведение (3.5), получим
.
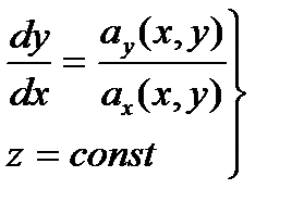
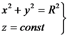
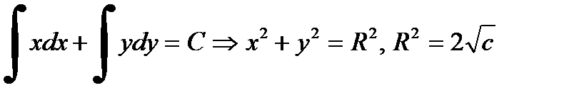
Дифференциальные уравнения векторных линий
откуда
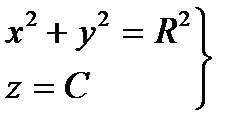
, то есть векторные линии являются окружностями с центрами на оси OZ.
Пример 3.4. Найти векторные линии следующего поля 
Решение. Составим дифференциальное уравнение
, интегрируя, получим
,
. То есть 
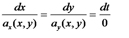
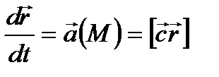
Дифференциальные уравнения векторных линий
, могут быть записаны так:
или в векторной форме:
, (3.6)
где
. Эта форма уравнений векторных линий оказывается удобной при решении подобных задач.
Пример 3.5. Найти векторные линии поля
, где
-постоянный вектор.
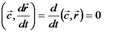
Решение. Применяя соотношения (3.6), получим
(3.7)
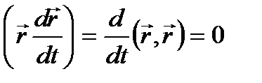
Умножая обе части (3.7) скалярно на
и используя свойства смешанного произведения, находим
(3.8)
Аналогично, умножая обе части (13.7) скалярно на
, получим
(3.9)
Из уравнения (3.8) следует, что
, а из уравнения (3.9) следует, что
. Векторные линии являются линиями пересечения плоскостей
со сферами
.