Определение 6.3. Векторное поле a(M)=P(x,у,z)i+Q(x,y,z)j+ +R(x,y,z)k заданное в пространственной области V называется потенциальным, если существует такая скалярная функция φ(M) что во всех точках области V выполняется равенство
a(M) = grad φ(M) (6.5)
Функция φ(M) = φ(x,y,z), удовлетворяющая в области V равенству называется потенциалом (или потенциальной функцией) векторного поля a.
Соотношение (6.5) равносильно следующим трем скалярным равенствам:

Потенциал поля определяется неоднозначно, с точностью до постоянного слагаемого.
Замечание. Для силовых полей функция φ(M) обычно называется силовой функцией, а потенциалом называется функция - φ(M).
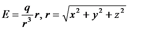
Пример 6.4. (Электростатическое поле точечного заряда.) Показать, что поле электрической напряженности Е, создаваемое точечным зарядом q помещенным в начале координат:
,
является потенциальным полем.
Решение. Задача ставится так: показать, что существует функция φ(x,y,z) такая, что выполняются соотношения (6.2).
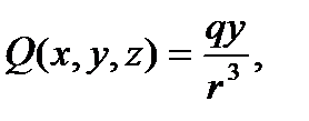
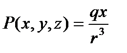
В нашем случае имеем
,
.
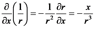
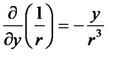
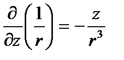
Так как 
и аналогично
,
,
|
|
|
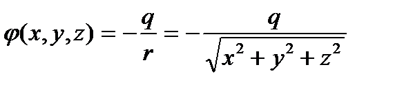
то функция 
является потенциалом данного поля:
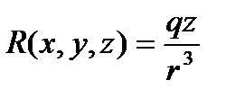
grad
=E.
В данном примере начало координат, где сосре-доточен заряд q, является особой точкой поля Е.






