Пусть координаты вектора
a(M)=P(x,y,z)i+Q(x,y,z)j+R(x,y,z)k.
непрерывны и имеют непрерывные частные производные.
Теорема 6.1. Циркуляция вектора а по замкнутому контуру L равна потоку ротора этого вектора через любую поверхность Σ, натянутую на контур L.
(6.3)
Предполагается, что ориентация нормали n° к поверхности Σ согласована с ориентацией контура L так, чтобы из конца нормали обход контура в выбранном направлении был виден совершающимся против часовой стрелки.
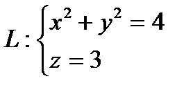
Пример 6.3. Вычислить циркуляцию вектора a=yi+x2j-zk по контуру 
1. непосредственно 2. по теореме Стокса.
рисунок 6.1
Решение. 1. Контур L – окружность радиуса R=2, лежащая в плоскости z=3 (рис.6.1). Выберем ориентацию на ней как указано на рисунке. Параметрические уравнения линии L:

так что

для циркуляции вектора а имеем

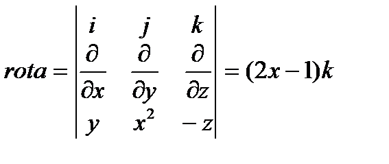
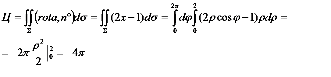
2. Для вычисления циркуляции по теореме Стокса выберем какую-нибудь поверхность Σ, натянутую на контур L. Естественно в качестве Σ взять круг, имеющий линию L своей границей. Согласно выбранной ориентации контура нормаль n° к кругу необходимо взять равной k: n°=k. Далее
|
|
|

Поэтому, в силу теоремы Стокса

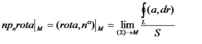
Из теоремы Стокса получаем: проекция вектора rot а на любое направление n не зависит от выбора системы координат и равна поверхностной плотности циркуляции вектора а по контуру площадки, перпендикулярной этому направлению:
(6.4)