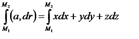
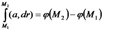
Теорема 6.2. Линейный интеграл в потенциальном поле а(М) равен разности значений потенциала φ(М) поля в конечной и начальной точках пути интегрирования:
. (6.9.)
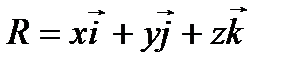
Пример 6.6. Вычислить линейный интеграл в поле вектора

Вдоль отрезка прямой, ограниченного точками М1(-1,0,3) и М2(2,-1,0).
Решение. Покажем, что поле данного вектора потенциально. В самом деле,

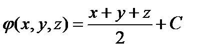
Легко убедиться, что потенциал этого поля
.
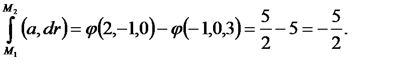
Применяя формулу (6.9) получим

Отметим, что несущественно, какой линией соединены точки М1 и М2; в любом случае при фиксированных М1 и М2 интеграл

имеет одно и то же значение.






