Формулой
(6.10)
можно пользоваться для нахождения потенциальной функции
заданного потенциального поля
a(x, y, z)=P(x, y, z)i + Q(x, y, z)j + R(x, y, z)k.
Для этого зафиксируем начальную точку М0(x0, y0, z0) и соединим ее с текущей точкой М(x, y, z) ломанной М0АВМ, звенья которой параллельны координатным осям, а именно, М0А?Ох, АВ?Оу, ВМ?Оz (рис.6.2). Тогда формула (6.6) примет вид
, (6.11)
где х, у, z - координаты текущей точки на звеньях ломанной, вдоль которых ведется интегрирование.
Пример 6.7. Доказать, что векторное поле
a= (e + z)i + (x + z)j + (x + y)k
является потенциальным, и найти его потенциал.
Решение. 1-й способ. Необходимым и достаточным условием потенциальности поля а(М) является равенство нулю rot a(M). В нашем случае

т. е. поле является потенциальным. Потенциал этого поля найдем с помощью формулы (6.10). За начальную фиксированную точку примем начало координат О(0, 0, 0). Тогда получим

Итак,

где С - произвольная постоянная.
Z



Y
X рис. 6.2.
2-й способ. По определению потенциал
есть такая скалярная функция, для которой grad φ=а. Это векторное равенство равносильно трем скалярным равенствам:
(6.12)
(6.13)
(6.14)
Интегрируя (6.12) по х, получим
, (6.15)
где f(y, z)-произвольная дифференцируемая функция от y и z. Дифференцируя по у обе части (6.12) и учитывая (6.11), получим соотношение для нахождения пока неопределенной функции f(y, z). Имеем

или
,
откуда
. (6.16)
Проинтегрировав (6.16) по у, будем иметь
, (6.17)
где F(z)- пока неопределенная функция от z. Подставив (6.17) в (6.11) получим
.
Продифференцировав последнее равенство по z и учитывая соотношение (6.12), получим уравнение для нахождения F(z):

Отсюда
, так что
.
Итак,
.
3-й способ. По определению полного дифференциала функции
имеем

Подставляя сюда вместо частных производных
,
,
их выражения из (6.10), (6.11), (6.12), получим
dφ =(y + z)dx + (x + z)dy + (x + y)dz
или, после несложных преобразований,
dφ=(ydx+xdy)+(zdx+xdz)+(ydz+zdy)=d(xy)+d(xz)+d(yz)=d(xy +xz +yz).
Итак,
dφ=d(xy + yz + zх).
Отсюда следует, что
.
В том случае, когда область Ω является звездной с центром в начале координат О(0, 0, 0), потенциал φ(М) векторного поля а=а(М) в точке М(x, y, z) можно находить по формуле
, (6.18)
где r(M)=xi + yj + zk- радиус-вектор точки M(x, y, z), а точка
(tx,ty,tz) при
пробегает отрезок ОМ прямой, проходящей через точки О и М.
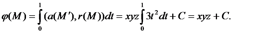
Пример 6.8. Найти потенциал векторного поля
а= yzi + xzj + xyk.
Решение. Легко видеть, что rot a
0, т. е. данное векторное поле потенциально. Это поле определено во всем трехмерном пространстве, которое является звездным с центром в начале координат О(0, 0, 0), поэтому для нахождения его потенциала воспользуемся формулой (6.12). Так как в данном случае
a(
)= а(tx, ty, tz)= t2 yzi + t2 xzj + t2 xyk,
то скалярное произведение векторов a(
) и r(M) равно
(a(
), r(M))=t2 (xyz+xyz+xyz)=3t2xyz.
Искомый потенциал

Итак,
