Пусть имеем поле вектора
a(M)=P(x,y,z)i+Q(x,y,z)j+R(x,y,z)k.
Будем предполагать, что координаты P,Q,R вектора а(М) непрерывны и имеют непрерывные частные производные первого порядка по всем своим аргументам.
Определение 6.1. Ротором вектора а(М) называется вектор, обозначаемый символом rot а(М) и определяемый равенством
(6.1)
или в символической, удобной для запоминания, форме
(6.2)
Этот определитель обычно раскрывается по элементам первой строки, при этом операции умножения элементов второй строки на элементы третьей строки, понимаются как операции дифференцирования, например 
Определение 6.2. Если в некоторой области G имеем rot а=0, то поле вектора а в области G называется безвихревым.
Пример 6.1. Найти ротор вектора
a=(x+z)i+(y+z)j+(x2+z)k
Решение. Используя формулу (6.2), имеем

Раскрывая определитель по элементам первой строки и понимая операцию умножения, скажем,
на x2+z, как операцию частного дифференцирования, найдем

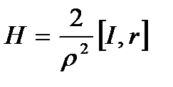
Пример 6.2. Найти ротор вектора Н напряженности магнитного поля в условиях примера.
Решение. Вектор Н напряженности магнитного поля

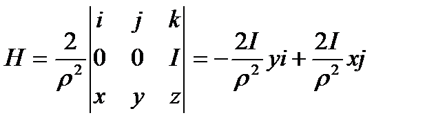
или

где ρ2=х2+у2. Отсюда в силу 6.2

Таким образом, rot Н=0 везде, кроме оси OZ в точках которой последние формулы теряют смысл (знаменатель обращается в нуль), т.е. поле вектора Н является безвихревым всюду вне точек оси OZ.






