Теорема 6.1 Для того чтобы векторное поле a(M), заданное в односвязной области V было потенциальным, необходимо и достаточно, чтобы в каждой точке области V выполнялось условие
rot a = 0. (6.7)
Иными словами, для того чтобы векторное поле, заданное в односвязной области, было потенциальным, необходимо и достаточно, чтобы оно было безвихревым.
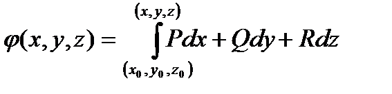
Потенциал φ(x,y,z) векторного поля
= P(x, у, z)i + Q(x, y, z)j + R(x, y, z)k
определяется формулой
, (.6.8)
где (x0, у0, z0) - некоторая фиксированная точка поля, a (x, y, z) -произвольная текущая точка.
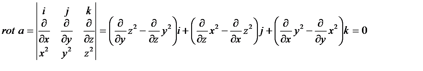
Пример.6.5. Показать, что поле вектора
= x2i + y2j + z2k
является потенциалом.
Решение. Координаты P=x2, Q=y2, R=z2 вектора а являются бесконечно дифференцируемыми функциями во всем пространстве, так что а есть бесконечно дифференцируемый вектор, определенный во всем трехмерном пространствe. Имеем

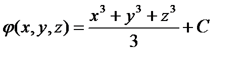
В силу теоремы (6.1) поле вектора а потенциально. Легко видеть, что функция
,
где С- произвольная постоянная, является потенциалом данного поля.






