П режде чем говорить о том, что называется дифференциальным уравнением, вспомним, что в математике принято называть уравнением вообще. Впервые понятие уравнения встречается в младших классах средней школы: уравнением называется равенство, содержащее неизвестное.
Естественно, в зависимости от того, каков вид этого равенства, разлиаются методы решения этого решения уравнения. Вы ознакомились со способом решения линейного уравнения вида

Квадратных уравнения вида

Совокупности n уравнений, содержащих n неизвестных и т.д. Во всех этих уравнениях в качестве неизвестных выступают числа.
Можно смело сказать, что значительная часть математических теорий посвящена методам решения различных типов уравнений.
Приведенные выше уравнения называются алгебраическими, они далеко не исчерпывают возможных типов решений.
На ряду с алгебраическими встречаются так называемые функциональные уравнения, которых в качестве неизвестного выступает функция. Это широкий класс уравнений с помощью которых описывается большое количество явления естествознания, науки и техники.
|
|
|
Функциональные уравнения делятся на различные классы, одним из важнейших является класс дифференциальных уравнений –это такое функциональное уравнение, в котором участвует производная от неизвестной функции.
Таким образом важнейшей характеристикой дифференциального уравнения является, во-первых, то, что в нем в качестве неизвестного выступает функция и, во –вторых, неизвестная функция встречается под знаком производной. При наличии этих двух свойств одновременно мы имеем дифференциальное уравнение.
Раз есть уравнение, то сразу нужно объяснить, что понимается под его решением. Решением дифференциального уравнения называется такая функция, которая при подстановке в уравнение обращает его в тождество.
1. следует сразу отметить два обстоятельства:
10. С простейшими видами дифференциальных уравнений мы с вами фактически уже встречались при изучении темы неопределенный интеграл.
В самом деле, вспомним как ставится основная задача этой темы. Говорится, что известна производная некоторой функции у´ и требуется найти саму функцию у по ее производной. Если эту фразу перевести на математический язык, то можно сказать, что задано уравнение
(7.1)
Где у –неизвестная функция, а
-известная.
В уравнении (7.1) неизвестная функция входит под знаком производной, иными словами, в уравнение входит производная неизвестной функции, требуется найти неизвестную функцию.
Таким образом, мы имеем выполненные 2 условия, которые характеризуют дифференциальное уравнение.
|
|
|
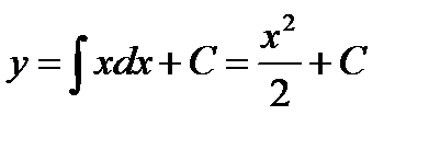
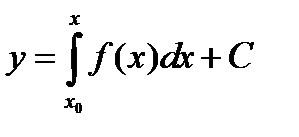
Как известно, решение задачи (7.1) записывается через неопределенный интеграл
(7.2)
где С- произвольная постоянная, либо
(7.3)
Этот пример подготавливает нас к тому, что дифференциальное уравнение может иметь не одно решение, а бесконечное множество, зависящих от одного параметра –произвольной С.
(7.4)
Имеет множество решений
(7.5)
Либо:
(7.6)
Графики этих решений изображены на рис 7.1
Из этой геометрической интерпретации видно, что для выделения из множества решений уравнения (7.1) одного вполне определенного решения, достаточно указать всего одну точку плоскости, через которую проходит это решение.
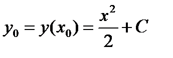
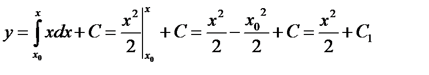
Пусть например требуется выделить из семейства решений (7.5) уравнение (7.4) решение, которое проходит через заданную точку М.
Имеем: среди кривых семейства (7.5) нам нужно выделить ту, которая удовлетворяет условию
(7.7)
Подставляя в это равенство функцию (7.5), получим
Рис 7.1.

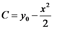
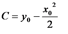
Откуда найдем С: 
Следовательно, при
мы получим кривую семейства решений, удовлетворяющих условию
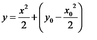
. Искомая кривая имеет уравнение
(7.8)
Тем самым функция (7.8) является решением уравнения (7.4), удовлетворяющим условию. Сразу отметим, что дополнительное условие задание которого гарантирует выделения из множества решения дифференциального уравнения одного определенного решения носит название начального условия.
20. Второе обстоятельство о котором нужно сказать, связано замечанием о том, что
дифференциальные уравнения встречаются в приложениях с другими известными функциями, а производную искомой функции с этой неизвестной функцией и другими известными функциями.






