Пусть задан ряд
(16.1)
с положительными членами
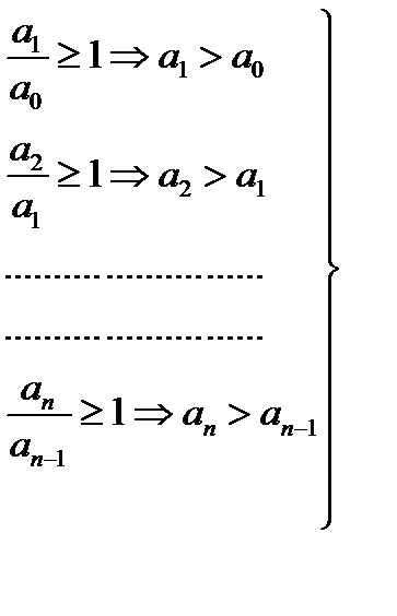
А) Если
(n= 0,1,2,…) (16..2)
то ряд (16.1) сходится
Если же
(n= 0,1,2,…) (16.3)
то ряд (16.1) расходится.
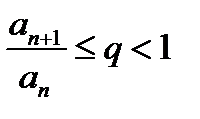
Б) Если
, (16.4)
то: 1) Ряд (16.1) сходится, если q<1,
2) Ряд (16.1) расходится, если q>1
3) Если q=1 ответ на вопрос о сходимости ряда или расходимости ряда теорема не дает.
Доказательство
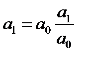
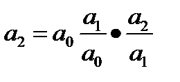
Докажем первую часть теоремы. Для этого представим члены ряда в виде:



…………………..
…………………..

Поэтому из (16.2) следует, что
, q<1
Тогда
, где 
есть геометрический ряд с первым членом
и знаменателем, который сходится при q<1 (см. Лекция 16 §2). Тогда согласно теореме 15.1 также сходится ряд (16.2).Теперь, пусть выполняется неравенство (16.3). Тогда не трудно заметить, что
(16.5)
Из (16.5) следует, что

Откуда
и так как
, то ряд расходится, так как необходимое условие сходимости ряда не выполняется






