Пусть
. Далее из свойства (34.9) при
следует, что
(
) (16.10)
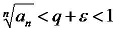
При достаточно большом
, откуда
(
)
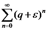
Или 
Так как ряд
сходится, то сходится и ряд
, а вместе с ним и ряд (16.1)
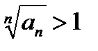
Пусть
. Из свойства (16.9) при
вытекает что
, то есть
(
)
При достаточно большом
, откуда следует сходимость ряда (16.1). что и требовалось доказать.






