Если, хотя бы начиная с некоторого места (скажем для n>N), выполняется неравенство

то из сходимости ряда (А) вытекает расходимость ряда (В).
Примеры:
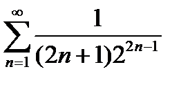
1.
Ряд сходится (теорема 15.7)
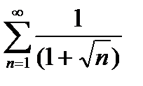
2.
Ряд расходится (теорема15.7)
Если, хотя бы начиная с некоторого места (скажем для n>N), выполняется неравенство

то из сходимости ряда (А) вытекает расходимость ряда (В).
Примеры:
1.
Ряд сходится (теорема 15.7)
2.
Ряд расходится (теорема15.7)
|
|