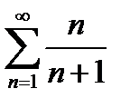
Исследовать сходимость ряда

Решение:

. Ряд расходится.
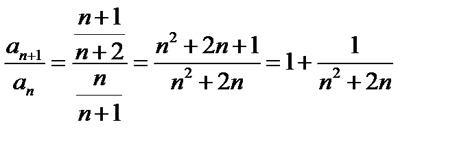
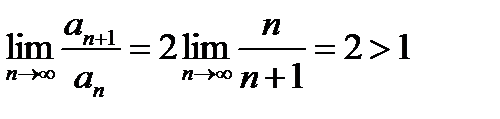
Пример 16.3.. Исследовать сходимость ряда

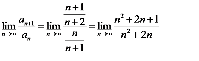
Решение:

Проведем дополнительное исследование. Так как
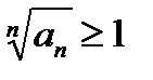
и
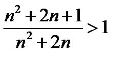
для всех
, то данный ряд расходится в силу (16.3)
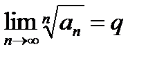
§2.Признак сходимости Коши Теорема 16.2
Пусть дан ряд (16.1) с положительными членами
А) Если:
(16.7)
То ряд (16.1) сходится
Если же:
(16.8)
То ряд (16.1) расходится
Б) Если
(16.9)
То:
1) Ряд (16.1) сходится при 
2) Ряд (16.1) расходится при 
3) Если
ответ на вопрос о сходимости или расходимости остаётся открытым.
Доказательство.
Докажем первую часть теоремы.
Из неравенства (16.7) следует что
(Лекция 16, §2)
Так как в этом случае ряд
сходится, то согласно теореме сравнения, также сходится ряд (16.1), так как 
Пусть теперь имеет место неравенство (16.8). тогда не трудно заметить что
, то есть не выполняется необходимое условие сходимости, и поэтому ряд (16.1) расходится. Таким образом первая часть теоремы доказана.






